Поле синхронно движущихся источников ч. 12

Тихий океан из космоса. Большая часть поверхности Земли покрыта водой.

Особенности трёхмерного динамического поля
С.Б. Каравашкин
e-mail: sbkaravashkin@gmail.com
Труды СЕЛФ
блог «Classical Science»
оригинал

В предшествующей серии статей {1}-{8}, исследующих динамические поля бинарных систем на основе комплексного запаздывания, возникающего вследствие конечности скорости распространения полей, был установлен ряд особенностей, существенно отличающих процессы в динамических полях от стационарных. В частности, было выявлено, что суммарное динамическое поле формируется путём синхронного вращения векторов напряжённости во времени в каждой точке окружающего пространства, синхронизируемого в общее спиральное поле бинарной системы независимо от того, возбуждается ли это поле зарядами или массами. При этом каждый заряд или масса, попавшие в соответствующее динамическое поле, будут подвергаться циркуляционному воздействию, но, как было уже сказано, при этом само динамическое поле остаётся потенциальным.
Для исследования трёхмерной модели поля мы, прежде всего, несколько упростим задачу, воспользовавшись вышеуказанным обстоятельством эквивалентности структуры динамических полей, независимо от их физической природы. Упрощение сводится к тому, что при моделировании гравитационного поля требуется выделение динамической компоненты из общего гравитационного поля. В динамическом электрическом поле эта операция излишня, что существенно облегчает моделирование без ограничений выводов о структуре самого поля. Поэтому проведём моделирование на бинарной системе синхронно вращающихся электрических положительного и отрицательного зарядов.
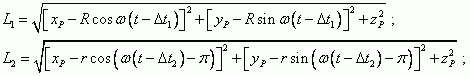
Моделирующая схема представлена на рис. 1.

Рис. 1. Схема для расчёта трёхмерного динамического поля, образованного синхронно движущимися электрическими зарядами; на схеме представлены геометрические построения только для одного заряда, учитывая, что для другого заряда построения будут несущественно отличаться и для них может быть взята за основу данная система построений, приложенных ко второму заряду

На данном построении зададимся параметрами, использовавшимися в {9}, а именно:
– Скорость распространения электромагнитных волн с = 3•Е+8 м/с;
– Масса первого тела, несущего отрицательный заряд, m1 = 9,1•Е-31 кг;
– Масса второго тела, несущего положительный заряд, m2 = 1,67•Е-27 кг;
– Радиус орбиты отрицательного заряда R = 5,29 •Е-11 м;
– Радиус орбиты положительного тела r = 2,883•Е-14 м;
– Частота вращения ω = 4,14 •Е+16 рад/сек ;
– Величина зарядов q1 = q2 = 1,60 •Е-19 К;
– Параметры точки Р моделируются в пределах ±λ/4 с шагом λ/12 относительно центра масс системы; шаг по оси z равен λ/16.
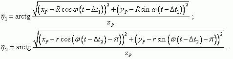
С учётом заданных параметров и представленной схеме (индекс 1относится к отрицательному заряду, а индекс 2 – положительному)
(1)
где Δt1 , Δt2 – комплексное запаздывание, определяемое временем прохождения возбуждения поля от мгновенного положения заряда к точке Р по пути АР.
Величина АP равна
(2)
Углы наклона вектора Е в точке Р равны
(3)
(4)
Трансцендентные уравнения для нахождения времени запаздывания имеют вид
(5)
Компоненты напряжённости электрического поля Е в точке Р равны:
(6)
Результат построения представлен на динамической диаграмме на рис. 2.

Рис. 2. Диаграмма динамической компоненты напряжённости поля, создаваемой вращающимся диполем в верхнем полупространстве над плоскостью вращения (экватором)

Из построения видно, что вне экватора тоже возбуждается спиральное поле, но каждый вектор этого поля уже вращается в трёх измерениях с наклоном к плоскости экватора. Только в полярных точках поля вращение вектора напряжённости поля параллельно плоскости экватора.
В приложении к гравитационным полям, данная циркуляция векторов напряжённости поля будет создавать вихревую облачность, которая будет тем более интенсивной, чем будет больше плотность увлекаемой окружающей массы. Максимум подобной циркуляции будет приходиться где-то на 40-50 градусы, поскольку над полюсом будет действовать циркуляция, создающая разрежение в этой области, а на экваторе циркуляция будет в плоскости экватора и в значительной мере будет радиальной.
Понятно, что на этот процесс будут налагаться магнитные процессы, описанные в {9}, а также температурные градиенты, возникающие вследствие перераспределения внешних масс.
Ещё одной особенностью объёмных динамических гравитационных полей бинарных масс является то, что данные поля действуют в совокупности с полным гравитационным полем. Чтобы это продемонстрировать, достаточно несколько видоизменить вышерассмотренную модель, задав одноименный отрицательный электрический заряд для обеих масс, что будет соответствовать притяжению общепринятого положительного пробного тела, как и эквивалентно действию гравитационного поля. Динамическая диаграмма результирующего поля представлена на рис. 3.

Рис. 3. Динамическая диаграмма суммарного поля

Данное построение показывает, что динамическая компонента поля сравнительна мала и в десятки раз меньше компоненты усреднённого стационарного поля бинарных систем. Тем не менее, наличие этой компоненты делает суммарное поле нецентральным. Данная особенность хорошо видна на рис. 4, на котором представлено поведение динамической компоненты поля вдоль меридиана.

Рис. 4. Диаграмма динамической компоненты поля вдоль меридиана

На этой диаграмме видно, что спиральное поле образуется не только в экваториальной плоскости (как показано на рис. 2), но и в меридиональной. Причём на полюсе (верхняя точка графика) поле направлено от полюса вовне и параллельно экваториальной плоскости. Это способствует перемещению внешних масс от полюса к экватору. В средней полосе формируются спиральные поля, которые мы и наблюдаем на том же Юпитере (см. рис. 5)

Рис. 5. Облачность. Юпитера

Именно согласованные изменения этой нецентральной, вихревой компоненты во времени в виде спиральных волн совместно со стационарным гравитационным полем производят осаждение вещества в экваториальной плоскости, формируя наблюдаемые кольца у Сатурна и Юпитера, как и дисковидную форму, окружающую звёзды и ядра галактик. Вещество для формирования данных структур появляется в результате сброса оболочек, происходящих в процессе развития галактических и массивных звёздных и планетарных структур. Малость же динамической компоненты и локализация поля вблизи его источника приводит к тому, что спирали могут проявиться только при значительной массе источника поля, которой обладают галактики. У звёзд и тем более у крупных планет область формирования дисков значительно меньше длины спиральной волны. Поэтому материал диска только способен сформироваться в экваториальной плоскости и приобрести вращение вокруг источника поля. Само же образование бинарной структуры определяется смещением центра масс и раскручиванием гравитационного тела вследствие его движения в пространстве, что описано в {4}.
Таким образом, моделирование трёхмерного поля в комплексе с предыдущим моделированием динамики бинарных систем показало, что комплексное запаздывание является причиной целого комплекса факторов, формирующих звёздные системы и не позволяющих веществу коллапсировать, чего так опасался ещё Ньютон при формулировании своего Всемирного закона гравитации. Важно здесь и то, что весь комплекс моделирования базируется на том же законе Ньютона, но с учётом динамики поля, анализ которой был ещё ему недоступен и следствием чего были опасения. Также следует отметить, что коллапсированию противодействует и наличие встречных независимых и не компенсирующих друг друга процессов глобального накопления энергии и локального процесса её диссипации, проанализированные в предыдущих исследованиях {10}.

Литература:
1. С.Б. Каравашкин. Поле синхронно движущихся источников ч. 1 – // Блог «Classical Science».
2. С.Б. Каравашкин. Поле синхронно движущихся источников ч. 2 Внешнее гравитационное поле – // Блог «Classical Science».
3. С.Б. Каравашкин. Поле синхронно движущихся источников ч. 3 Внутреннее гравитационное поле – // Блог «Classical Science».
4. С.Б. Каравашкин. Поле синхронно движущихся источников ч. 4 Гравитационное поле внутри массивного кольца – // Блог «Classical Science».
5. С.Б. Каравашкин Поле синхронно движущихся источников ч. 5 Эффект Доплера для нецентральной окружности – // Блог «Classical Science».
6. С.Б. Каравашкин. Поле синхронно движущихся источников ч. 8 Поле взаимно движущихся зарядов – // Блог «Classical Science».
7. С.Б. Каравашкин. Поле синхронно движущихся источников ч. 9. Внешнее поле вращающегося диполя – // Блог «Classical Science».
8. С.Б. Каравашкин. Бинарные гравитационные системы – // Блог «Classical Science».
9. Д.П. Борисенко-Каравашкина. К вопросу образования облаков – // Труды СЕЛФ, т. 1, с. 95-98.
10. С.Б. Каравашкин и О.Н. Каравашкина. Некоторые уточнения понятия энтропии макросистемы – // Труды СЕЛФ, т. 6.1, с. 18-27.

Комментарии (4)

Всего: 4 комментария
  
0
Уважаемый Андрей, не понял А где текст материала?
  
#2 | Андрей Рыбак »» | 02.06.2019 16:31 | ответ на: #1 ( Каравашкин Сергей ) »»
  
0
Вроде я его не удалял? Добавьте его после картинки если не сложно. Загадка
#3 | Каравашкин Сергей »» | 02.06.2019 17:54 | ответ на: #2 ( Андрей Рыбак ) »»
  
0
Ну, вот и вся недолга... Спасибо, Андрей.
  
#4 | Андрей Рыбак »» | 02.06.2019 19:36 | ответ на: #3 ( Каравашкин Сергей ) »»
  
0
Добавлять комментарии могут только
зарегистрированные пользователи!
 
Имя или номер: Пароль:
Регистрация » Забыли пароль?
бог 114 вера 3 дух 11 любовь 114 троица 105 ум 36 богородица 3 человек 8 отец 5 сущность 3 время 7 истина 7 свобода 3 интернет 4 дух святой 4 алексей семихатов 9 гравитация 6 хаос 3 энтропия 4 искусственный интеллект 9 борис бояршинов 4 нейтрино 3 криптовалюты 3 комплексное запаздывание 5 термояд 3 эффект доплера 6 физика 4 фильм 3 квантовая механика 5 истинные и мнимые лучи 3 фотон 3 чёрные дыры 4 сто 13 алексей савватеев 7 владимир сурдин 3 новый ролик 8 черная дыра 3 скорость света 3 видео 9 пространство 6 космология 4 материя 3 гравитационные волны 7 эфир 6 горизонт событий 4 ото 5 будущее 3 космос 5 россия 4 сознание 3 вселенная 3 квантовая физика 4 электромагнетизм 3 лиго 4 луна 3 разум 6 рассудок 3 теория относительности 4 ложность релятивизма 4 дети 3 энергия 3 благодать 4 математика 4 спасение 3 крест 3 дифракция 3 химия 5 воля 4 золотое сечение 3 марс 3 классическая физика 4 майкельсон 3 преобразования лоренца 4 христос 4 логика 3 эфирный ветер 4 святой дух 3 сын 4 вода 3 иисус христос 12 путь 3 гипотеза 3 наука 4 gps 3 черные дыры 3 большой адронный коллайдер 4 решение 4 мир 3 история 3 эксперименты 3 лечение рака в израиле 3 методы лечения рака в израиле 3 биография 4 история открытия 3 темная энергия 3 погрешность 3 метрология 3 измерения 5
 
© decoder.ru 2003 - 2025, создание портала - Vinchi Group & MySites
ЧИСТЫЙ ИНТЕРНЕТ - logoSlovo.RU