Об устранении эффекта аберрации

С.Б. Каравашкин
e-mail: sbkaravashkin@gmail.com
Труды СЕЛФ
блог «Classical Science»
оригинал
В предыдущих работах {1},{2} было показано, что релятивистское описание аберрации света звёзд не отражает реальных физических процессов и формула, представленная Эйнштейном, получена из внешней похожести с классическим представлением, а не как описание физической реальности,
К анализу, проведенному в указанных работах, можно добавить и то, что значение скорости v, фигурирующее в классическом формализме (см. (1))
(1)
(где α – аберрационное смещение светила по большому кругу небесной сферы, проходящему через светило и апекс – т.е. точку, к которой движется наблюдатель, – в сторону апекса; φ = ψ – α; ψ – угол между направлениями на светило и на апекс) – относится к скорости Земли относительно Солнца, а не по отношению к звезде. Понятно, что в релятивистском описании данное движение относительно третьего тела не имеет никакого отношения к взаимному движению звезды и наблюдателя на Земле. Тем более, что система отсчёта Земли принята за неподвижную и в этой системе отсчёта Солнце будет двигаться относительно наблюдателя на Земле, не имея никакого отношения к скорости самой звезды. Подставляя же в релятивистскую формулу скорость движения Земли относительно Солнца, релятивисты нарушают постулат относительности, возводя скорость движения Земли в абсолют, чем и в этом моменте дезавуируют собственную концепцию.
В классическом формализме описание полностью согласуется с эфирной концепцией и со свойствами света, распространяющегося в этой светоносной субстанции, но, как известно, существуют проблемы с измерением, приводящие к тому, что положение звезды на небе определяется дважды в противофазных точках на орбите Земли вокруг Солнца. Это даёт значение аберрации, вызванное движением Земли по орбите, но при этом невозможно определить полное значение аберрации в связи с вращением самой Земли вокруг оси, с движением Земли вместе с Солнцем в Галактике и движением самой Галактики.
Чтобы это измерить, а вместе с этим узнать и о свойствах эфира (и, в частности, о его подвижности), нужно определить положение звёзд при однократном измерении с одновременным с этим измерением полной скорости движения самой Земли, что существующими методами не реализуемо. В отсутствие же подобного измерения нарушается полнота исследования и закрывается путь к следующему уровню познания природных явлений
Главной причиной, приводящей к невозможности указанного одновременного измерения положения звезды и скорости Земли, является привязанность исследований к телескопу ли, к астрономическому посоху ли, к секстанту ли. Во всех этих случаях имеются две отметки, разделённые расстоянием, при совмещении которых с направлением на звезду, и определяется её угловое положение. Одновременно с этим проявляется и паразитный эффект, обусловленный смещением самого прибора, при прохождении света между отметками, приводящий к появлению аберрации.
В данной работе мы рассмотрим несколько иную схему, которая не требует совмещений меток в том виде, как это делалось в вышеуказанных приборах. Общий вид этой схемы представлен на рис. 1.

fig 1
Рис. 1. Общая схема прибора для измерения углового положения звезды без аберрации; 1 – звезда; 2 – полупрозрачное зеркало; 3 – компенсирующая пластина; 4 – измерительная линейка.

Согласно представленной схеме луч света от звезды 1 приходит в некоторую фиксированную точку полупрозрачного зеркала 2, наклонённого под углом β к апексу, т.е. к направлению движения самой Земли в пространстве, без ограничений на собственное вращение Земли или на движение по орбите вокруг Солнца. Данная точка обязательно должна быть строго фиксированной, чтобы обеспечивать точное расстояние точки О прихода луча с сохранением расстояния h. Для этого сам прибор, как целое, должен иметь возможность строго смешаться по вертикали к апексу до попадания луча света в заданную точку на полупрозрачном зеркале. Это единственное совмещение, которое требуется в данной схеме и оно не связано с двумя отметками, как в существующих схемах.
Также точно, как и угол наклона зеркала β и высота h, должно быть выставлено расстояние точки О по горизонтали, т.е. отрезок BN. От точности фиксации этой точки во многом зависит и точность проводимых измерений.
На указанном полупрозрачном зеркале лучи разделяются на два (причём тут большой точности разделения не нужно). Один луч отражается и приходит на измерительную линейку в точке D. Второй луч проходит сквозь зеркало и попадает в точку Е. Чтобы избавиться от паразитных искажений траектории луча, обусловленных прохождением через зеркало, на пути отражённого луча устанавливается компенсирующая пластина 3, той же толщины и химического состава стекла, что и полупрозрачное зеркало. Она также наклонена под углом β.
Таким образом, для точного измерения положения звезды ψ и скорости движения Земли v требуется чёткая установка четырёх параметров: расстояния h, угла наклона полупрозрачного зеркала β и точность измерения расстояний прихода лучей на измерительную линейку – соответственно EB и DB. При этом ни в коем случае нельзя пользоваться диафрагмами как перед, так и после полупрозрачного зеркала, поскольку это автоматически будет приводить к появлению эффекта аберрации. Допускается использование увеличительных/телескопических приборов только для отсчёта значений после попадания лучей в точку О, а также в точки E и D.
С учётом указанных особенностей схемы, произведём её расчёт.
Рассмотрим участок отражения луча от полупрозрачного зеркала. Схема для расчёта этого участка показана на рис. 2.
Рис. 2. Схема для расчёта углов отражения от полупрозрачного зеркала
Для этой схемы, как и в дальнейших расчётах, мы воспользуемся тем фактом, что для истинных лучей {3} законы отражения {4} и преломления {5} сохраняются независимо от движения прибора. С учётом этого, если лучи на рис. 2 истинные, то мы можем не учитывать движение полупрозрачного зеркала, поскольку по постановке задачи истинные лучи будут всегда приходить в одну и ту же точку О.
Из схемы
(2)
Идя далее, погрешность в связи с прохождением лучей через стекло рассчитывать не будем из-за введенной компенсации.
Определим параметры отражённого луча. Здесь Мы уже должны учитывать смещение прибора за время прохождения лучом расстояния OD. Определим его. Соответствующая схема для расчёта приведена на рис. 3.
Рис. 3. Схема для нахождения B΄D

Из построения
(3)
откуда
(4)
(5)
Учитывая, что согласно схеме на рис. 1 и рис. 2,
(6)
получаем
(7)
Если β = π/4, то (7) существенно упрощается
(8)
Произведём расчёт проходящего луча. Схема для расчёта представлена на рис. 4.
Рис. 4. Схема для определения EB΄.
Из построения
(9)
(10)
(11)
(12)
(13)
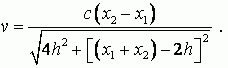
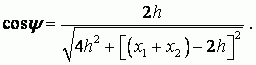
В результате мы получили два уравнения с двумя неизвестными v и ψ, которые при β = π/4 имеют аналитическое решение. Эта система уравнений имеет вид:
(14)
Вычитая первое уравнение из второго, получим:
(15)
Подставляя, например, в первое уравнение, получим
(16)
(17)
(18)
Подставляя (18) в (15), получим
(19)

Полученные значения v и ψ показывают, что в противовес установившемуся мнению о невозможности одномоментного измерения положения звезды без аберрации с одновременным измерением полной мгновенной скорости Земли, данная схема, основанная строго на физике процессов в рамках классического формализма, демонстрирует подобную возможность. Тем самым появляется возможность дать однозначный ответ на вопрос о том, какая же из конкурирующих в настоящее время концепций правильно описывает эффект аберрации. Если эксперимент зафиксирует абсолютную скорость Земли без переходов в другие системы отсчёта, как это делается в формализме релятивизма, то тем самым будет низложен искусственный релятивистский постулат относительности с соответствующими последствиями для этой теории, чем будет решён давно назревший вопрос.
Одновременно с этим появляется возможность исследовать истинное движение Земли, уточняя свойства светоносной субстанции, включая измерения характера движения Земли по орбите и в Галактике.

Литература:
1. Каравашкин С.Б. и Каравашкина О.Н. К вопросу об аберрации света, Труды СЕЛФ, 5 (2005), 2, 18- 28,
2. Каравашкин С.Б., Каравашкина О.Н. Новое в измерении аберрации – // блог «Classical Science».
3. Каравашкин С.Б., Каравашкина О.Н. Истинные и мнимые лучи света – // блог «Classical Science».
4. Каравашкин С.Б., Каравашкина О.Н. Отражение от плоского зеркала – // блог «Classical Science».
5. Каравашкин С.Б., Каравашкина О.Н. Преломление в движущихся средах – // блог «Classical Science».

Комментарии

Комментарии не найдены ...
Добавлять комментарии могут только
зарегистрированные пользователи!
 
Имя или номер: Пароль:
Регистрация » Забыли пароль?
бог 114 вера 3 дух 11 любовь 114 троица 105 ум 36 богородица 3 человек 8 отец 5 сущность 3 время 7 истина 7 свобода 3 интернет 4 дух святой 4 алексей семихатов 9 гравитация 6 хаос 3 энтропия 4 искусственный интеллект 9 борис бояршинов 4 нейтрино 3 криптовалюты 3 комплексное запаздывание 5 термояд 3 эффект доплера 6 физика 4 фильм 3 квантовая механика 5 истинные и мнимые лучи 3 фотон 3 чёрные дыры 4 сто 13 алексей савватеев 7 владимир сурдин 3 новый ролик 8 черная дыра 3 скорость света 3 видео 9 пространство 6 космология 4 материя 3 гравитационные волны 7 эфир 6 горизонт событий 4 ото 5 будущее 3 космос 5 россия 4 сознание 3 вселенная 3 квантовая физика 4 электромагнетизм 3 лиго 4 луна 3 разум 6 рассудок 3 теория относительности 4 ложность релятивизма 4 дети 3 энергия 3 благодать 4 математика 4 спасение 3 крест 3 дифракция 3 химия 5 воля 4 золотое сечение 3 марс 3 классическая физика 4 майкельсон 3 преобразования лоренца 4 христос 4 логика 3 эфирный ветер 4 святой дух 3 сын 4 вода 3 иисус христос 12 путь 3 гипотеза 3 наука 4 gps 3 черные дыры 3 большой адронный коллайдер 4 решение 4 мир 3 история 3 эксперименты 3 лечение рака в израиле 3 методы лечения рака в израиле 3 биография 4 история открытия 3 темная энергия 3 погрешность 3 метрология 3 измерения 5
 
© decoder.ru 2003 - 2025, создание портала - Vinchi Group & MySites
ЧИСТЫЙ ИНТЕРНЕТ - logoSlovo.RU