Поле синхронно движущихся источников ч. 8


Поле взаимно движущихся зарядов
С.Б. Каравашкин
e-mail: sbkaravashkin@gmail.com
Труды СЕЛФ
блог «Classical Science»
Оригинал

В предыдущих частях работы {1}, {2} было исследовано поле взаимно движущихся гравитирующих масс. Было показано, что существенную роль в формировании поля играет не только запаздывание возбуждения при движении источников, но и само смещение источников за время достижение возмущением второй массы.
Поле электрических зарядов также обладает данной особенностью, налагающейся на известное свойство зарядов, обладающих двумя знаками заряда, вследствие чего между ними может проявляться как притяжение, так и отталкивание, не свойственное гравитационным массам.
В качестве первой модели рассмотрим два заряда, движущихся синхронно и параллельно друг другу с одинаковой скоростью, как показано на рис. 1.

Рис. 1. Схема для расчета взаимодействия синхронно движущихся со скоростью v зарядов

Как и при расчёте взаимодействия гравитационных масс, электрические заряды взаимодействуют с предыдущим положением носителей зарядов. При этом из ΔABC имеем:
(1)
или
(2)
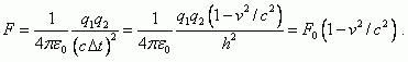
Исходя из (2) и построения на рис. 1, заряд q1 будет воздействовать на заряд q2 с силой
(3)
Как видим, в уравнении для силы появляется дополнительный релятивистский множитель, приводящий к тому, что величина этой силы уменьшается с ростом скорости. Если не обращать внимания на физику процессов, формально можно приписать этот множитель уменьшению величины зарядов и даже массе тел, несущих заряд, и этот подход сегодня характерен как для релятивистов, так и для оппозиции релятивизму.
В частности, в СТО Эйнштейна при переходе между системами отсчёта трансформируется плотность заряда ρ, но за счёт трансформации объема, занимаемого зарядом, величина самого заряда сохраняется {3, с. 82}. При этом Эйнштейн использовал преобразования Лоренца, которые, как было ранее показано {4}, некорректны в своей основе, поскольку нарушают соответствие физического времени систем отсчёта, входя в противоречие с базовыми постулатами СТО.
В концепции Ивченкова {5} подобная трансформация приписывается как изменению заряда, так и расстоянию между зарядами. Само выражение для взаимодействия движущихся зарядов, полученное Ивченковым, внешне похоже на полученное выше выражение (3) с той особенностью, что сила взаимодействия между зарядами остаётся центральной, поскольку выведена из разности между силой Лоренца и силой Кулона с нарушением формализма. Это нарушение, в частности, проявляется в том, что Ивченков приписал равные скорости зарядам, формирующим внешнее магнитное поле, и заряду, на который производится воздействие этого внешнего поля. Только в этом случае получается подобие формул, но, как будет показано далее, при различных скоростях это внешнее подобие разрушается вместе с изменением структуры взаимодействующих полей и зарядов и эти решения уже не будут никоим образом соответствовать выводам Ивченкова даже при различных скоростях зарядов в его выводе.
Всё указанные подходы к вопросу спекулятивны, поскольку, как видно из приведенного выше вывода, данный множитель не принадлежит никакому параметру, входящему в правую часть (3). Это свойство комплексного запаздывания взаимодействия и только этим определяется.
К тому же, вследствие движения зарядов изменяется не только амплитуда силы взаимодействия, но и направление воздействующей силы, что хорошо видно на рис. 2.

Рис. 2. Схема разложения силы взаимодействия между отталкивающимися движущимися зарядами

На основании построения и выражения (2) можем записать:
(4)
На основании (3) и (4) получим
(5)
Графики F/F0, Fn/F0, Ft/F0 от v/c, справедливые для описания взаимодействия как одноименных, так и разноименных зарядов представлены на рис. 3.

Рис. 3. График зависимости F/F0, Fn/F0, Ft/F0 от v/c для синхронно движущихся зарядов.

Из графика видно, что проекция нормальной силы убывает с ростом скорости быстрее результирующей силы взаимодействия между зарядами. Тангенциальная сила имеет максимум в районе 0,58 скорости света. При этом как сама сила, так и её проекции обращаются в ноль при v = c. Последнее делает невозможным ускорение выше скорости света, поскольку обращается в ноль сила, придающая ускорение любому телу, состоящему из комбинации положительных и отрицательных зарядов.
Из (5) и построения на рис. 2 несложно увидеть, что при неравенстве скоростей зарядов, силы взаимодействия равны не будут даже в момент времени, когда ось, соединяющая заряды, будет перпендикулярна направлению их движения. Это будет обусловлено различием времени комплексного запаздывания взаимодействия для каждого из зарядов. В общем же случае на силу взаимодействия будет оказывать влияние и мгновенное взаимное положение зарядов, что мы проследим по следующей модели.

В качестве второй модели рассмотрим взаимно перпендикулярное движение зарядов. Схема для расчёта представлена на рис. 4.

Рис. 4. Схема для расчета взаимодействия зарядов q1 и q2 , движущихся взаимно перпендикулярно со скоростями v1 и v2 соответственно

На основе представленной схемы из ΔEDO имеем для описания запаздывающего воздействия на заряд q1:
(6)
или
(7)
С учётом положительности времени запаздывания Δt2 , решением данного уравнения является выражение
(8)
Как следует из (8), комплексное запаздывание воздействия заряда q2 на q1 зависит не только от скорости смещения самого заряда q2, но и от мгновенного взаимного положения зарядов, определяемого параметрами r и α0. Данная зависимость, существенно усложняющая решения, будет появляться всегда, даже при параллельном движении зарядов. Но это не будет обусловлено силой Лоренца, как предполагает Ивченков, а только комплексным запаздыванием, различающимся для обоих зарядов и приобретающим зависимость от мгновенного положения, направления и скорости движения каждого из зарядов.
Для времени запаздывания воздействия заряда q1 на q2 из Δ ABO получаем
(9)
(10)
Исходя из того, что Δt1 также может быть только положительным, решением данного уравнения является выражение
(11)
Сравнивая (8) и (11), мы видим, что комплексное запаздывание взаимодействия в данной схеме неодинаково. Оно зависит от скорости воздействующих зарядов. Это естественным образом отражается как на величине и направлении воздействующей силы, так и на её нормальной и тангенциальной проекциях, схема для расчёта которых представлена на рис. 5.

Рис. 5. Схема разложения сил взаимодействия между отталкивающимися взаимно перпендикулярно движущимися зарядами

Из построения на рис. 5 видно, что за счёт комплексного запаздывания, силы взаимодействия между зарядами направлены не по оси, соединяющей эти заряды, как это характерно для статики и закона Кулона. Отклонение от оси определяется углами β1 и β2 , зависящими от скорости движения соответствующих зарядов, а следовательно, комплексным запаздыванием взаимодействия. Тангенциальные проекции сил взаимодействия между зарядами обусловливают формирование циклического движения зарядов вокруг общего центра масс, смещаемого относительно статического центра масс различием сил взаимодействия между зарядами..
Связь между α1 и α0 определяется выражениям из построения на рис. 4:
(12)
откуда
(13)
Для связи между α2 и α0 получим соответственно
(14)
(15)
Углы β1 и β2 определяются выражениями
(16)
На основании полученных параметров выражения для сил взаимодействия и их проекций примут для силы воздействия q2 на q1 следующий вид:
(17)
График изменения силы воздействия q2 на q1 в зависимости от угла α0 и отношения v_2/c представлен на рис. 6.

Рис. 6. График зависимости F21/F0, F21n/F0, F21t/F0 от v2/c для взаимно перпендикулярно движущихся зарядов при нескольких положительных и отрицательных значениях α0

Их графиков видно, что при различной ориентации заряда q2 графики имеют различный вид. При расположении заряда q2 ниже траектории заряда q1 (α0 < 0) сила воздействия q2 на q1 меньше статического случая. При α0 > 0 сила растёт и значительно. Таким образом, при одноименных зарядах в любом случае заряд q1 тормозится зарядом q2 и направление его движения изменяется в направлении, параллельном траектории заряда q2 . В случае притяжения зарядов, направление силы будет способствовать образованию вращающегося диполя.
Графики, описывающие воздействие заряда q1 на q2 будут иметь аналогичный вид, но силы будут принципиально различными. На основании (12) мы можем записать:
(18)
Сравнивая (17) и (18), мы видим, что и силы различны, как и их проекции на направление между зарядами.
Рассмотренные модели демонстрируют, что в каждом случае решения свои, хотя все они базируются на общих закономерностях. Это точно такой же вывод, какой был получен и для механических динамических цепочек {8}, а значит, данная особенность присуща динамике в целом. Можно ли попытаться сформулировать некоторое общее решение, объединяющее модели? В принципе, возможно, но учёт всех параметров движения сделает результирующее выражение настолько сложным, что проще в каждом случае решать прямую задачу. К тому же, если на это наложится изменение траекторий вследствие воздействия сил, подобное решение станет совсем неоперабельным. Это общее свойство динамических процессов, не позволяющее оперировать едиными формулами во всех случаях, но позволяющее вместо этого основываться на общих закономерностях, многообразие вариаций которых приводит к искомому решению, учитывающему особенности конкретной исследуемой схемы.
Также следует обратить внимание на то, что на приведенных моделях исследовалось изменение закона взаимодействия между зарядами в разрезе трансформации поля зарядов как следствие комплексного запаздывания распространения возмущения в светонесущей субстанции, но не учитывалась возможная трансформация самих зарядов вследствие их движения.
Несмотря на то, что в природе сам заряд и его поле неразрывно связаны друг с другом, указанная особенность является принципиальной, поскольку поле заряда обладает запаздыванием вследствие конечности скорости своего распространения в пространстве, а непосредственно заряду мы не можем приписать это свойство, но это свойство (в случае его наличия) изменит и распределение поля. Тем более что нельзя исключать факт, что заряд как источник вследствие движения может по-разному возбуждать поле в зависимости от направления относительно движения. Это отдельная и большая тема, требующая своего отдельного исследования.

Литература:
1. С.Б. Каравашкин. О встречном движении масс. – // Блог «Classical Science».
2. С.Б. Каравашкин. Поле синхронно движущихся источников, ч. 1. – // Блог «Classical Science».
3. А. Эйнштейн. О принципе относительности и его следствиях. – // Собрание научных трудов, т. 1, с. 65-114. М., Наука, 1965, 670 с.
4. С.Б. Каравашкин. О трансформации времени (полная версия) – // Блог «Classical Science».
5. Г. Ивченков. Силовое взаимодействие движущихся зарядов между собой и с полями. «Релятивистский» закон Кулона.
6. С.Б. Каравашкин, О.Н. Каравашкина. Проблема граничных условий. – // Блог «Classical Science».

Комментарии

Комментарии не найдены ...
Добавлять комментарии могут только
зарегистрированные пользователи!
 
Имя или номер: Пароль:
Регистрация » Забыли пароль?
бог 130 истина 9 любовь 129 троица 120 ум 51 образ 3 богородица 5 вера 3 дух 11 человек 8 отец 5 сущность 3 время 7 свобода 3 интернет 4 дух святой 4 алексей семихатов 9 гравитация 6 хаос 3 энтропия 4 искусственный интеллект 9 борис бояршинов 4 нейтрино 3 криптовалюты 3 комплексное запаздывание 5 термояд 3 эффект доплера 6 физика 4 фильм 3 квантовая механика 5 истинные и мнимые лучи 3 фотон 3 чёрные дыры 4 сто 13 алексей савватеев 7 владимир сурдин 3 новый ролик 8 черная дыра 3 скорость света 3 видео 9 пространство 6 космология 4 материя 3 гравитационные волны 7 эфир 6 горизонт событий 4 ото 5 будущее 3 космос 5 россия 4 сознание 3 вселенная 3 квантовая физика 4 электромагнетизм 3 лиго 4 луна 3 разум 6 рассудок 3 теория относительности 4 ложность релятивизма 4 дети 3 энергия 3 благодать 4 математика 4 спасение 3 крест 3 дифракция 3 химия 5 воля 4 золотое сечение 3 марс 3 классическая физика 4 майкельсон 3 преобразования лоренца 4 христос 4 логика 3 эфирный ветер 4 святой дух 3 сын 4 вода 3 иисус христос 12 путь 3 гипотеза 3 наука 4 gps 3 черные дыры 3 большой адронный коллайдер 4 решение 4 мир 3 история 3 эксперименты 3 лечение рака в израиле 3 методы лечения рака в израиле 3 биография 4 история открытия 3 темная энергия 3 погрешность 3 метрология 3 измерения 5
 
© decoder.ru 2003 - 2026, создание портала - Vinchi Group & MySites
ЧИСТЫЙ ИНТЕРНЕТ - logoSlovo.RU