Об эквивалентности инерционной и гравитационной масс

е
С.Б. Каравашкин
e-mail: sbkaravashkin@gmail.com
Труды СЕЛФ
блог «Classical Science»
Оригинал
«Прошло триста лет с тех пор, как Галилей прямым опытом опроверг утверждение Аристотеля о зависимости скорости падения тяжёлых тел от массы. Галилей установил, что в отсутствии сопротивления воздуха все тела падают одинаково. С этого наблюдения датируется новая физика – физика опыта и математической теории. Наблюдение Галилея о равенстве гравитационной и инертной масс неоднократно проверялось многими физиками, начиная с Ньютона. В 1890 г. венгерский физик Лоранд Этвеш опытом с крутильными весами доказал равенство инертной и тяжёлой масс с точностью до 1/2•E7 . В 1909 г. Д. Пекар и Э. Фекете подтвердили результат Этвеша с точностью до 1•E-8. Таким образом, к моменту появления статьи Эйнштейна равенство инертной и гравитационной масс было одним из наиболее точно установленных фактов физики» {1, с. 81-82}.
Вследствие этого, утверждать, что именно релятивисты установили своей концепцией эквивалентность тяжёлой и инертной массы является некорректным, как, впрочем, и то, что своим С-постулатом именно они ввели в физику близкодействие, в то время как, в сущности, они в стиле Маха только извратили законы, найденные до них классической физикой.
В случае эквивалентности масс Эйнштейн ввёл не саму эквивалентность, а постулировал возможность замены свободного падения тела в гравитационном поле его ускоренным движением, что само по себе абсурдно с точки зрения классической физики, поскольку гравитационное поле относится к полю массовых сил, в котором эта сила действует на каждую элементарную массу этого тела. Сила же, обеспечивающая ускоренное движение, контактная, т.е. воздействующая на зону контакта тела с источником силы. Объединение разнотипных сил равносильно подмене силового вектора пространственным, также осуществлённой релятивистами в Общей теории относительности. Для Эйнштейна же постановка задачи, приводящая его к «всеобщей эквивалентности», звучит так:
«Пусть в однородном поле тяжести (ускорение силы тяжести равно γ) находится покоящаяся координатная система K , которая ориентирована так, что силовые линии направлены по оси z. Пусть в пространстве, свободном от гравитационных полей, находится вторая координатная система K′, которая равномерно ускоренно (с ускорением γ) движется в положительном направлении своей оси z… Материальные точки, которые не подвергаются влиянию со стороны других материальных точек, движутся относительно K, как и относительно K′ в соответствии с уравнениями
(1)
f01
Для ускоренной системы отсчёта K′ это следует прямо из принципа Галилея; для покоящейся же в однородном гравитационном поле системы отсчёта K это следует из того опытного факта, что все тела в таком поле ускоряются равномерно одинаково сильно» {2, с. 166}.
Как мы видим, у Эйнштейна сравнение покоящейся в гравитационном поле системы отсчёта K с ускоренной системой K′ фактически сводится к исключительно внешним, кинематическим факторам движения других тел относительно данных систем отсчёта. При этом из рассмотрения выбрасываются принципиальный фактор массы самого тела, ради чего, собственно, и затеяно действо.
Возникает очевидный вопрос: вследствие чего тело сохраняет состояние покоя в гравитационном поле? По Ньютону это происходит вследствие компенсации сил, одной из которых является гравитационная сила. Второй может быть электрическое поле, как в опыте Отто фон Герике, или центробежная сила при движении данного тела вокруг источника поля, или, наконец, контактная сила, вследствие чего тело будет обязательно деформировано из-за различия физических свойств воздействующих на тело сил. В любом случае, при данной постановке вопроса нельзя однозначно утверждать, что указанное Эйнштейном положение системы отсчёта однозначно можно приписывать гравитационной массе, поскольку компенсирующей силой может быть и массовая сила, зависящая от заряда тела, его дипольных свойств. Под действием только гравитационной силы оно было бы не деформировано (в однородном поле тяжести) и тем более, не находилось бы в покое, а свободно падало с другими массами.
Если тело у Эйнштейна сохраняет состояние покоя в неподвижной системе отсчёта K и деформировано, то это воздействие, как минимум, двух сил, одна из которых контактная. Наоборот, свободно падающие (а значит, проявляющие свои инерционные и гравитационные свойства) во внешнем гравитационном поле тела (в случае однородности поля), для которых проявляется только гравитационное взаимодействие с источником поля, – не деформированы, что характерно для массовых сил, но абсурдно для контактных сил.
С другой стороны, ускоренное тело в сопутствующей системе отсчёта K′ тоже деформировано, но здесь это связано не с компенсацией сил, а свидетельствует о неинерциальности самой системы отсчёта, приводящей, в частности, к появлению деформации тела и проявлению инертной массы, не характерной для инерциальных систем отсчёта. При этом кинематически ускоренные по отношению к этой системе инерциальные тела как раз покоятся, находясь в своих ИСО, и там никаких деформаций не наблюдается в полном соответствии с законами Галилея и Ньютона, но при кинематическом подходе именно у них должны проявляться свойства инертной массы, поскольку у Эйнштейна в его кинематическом подходе именно они движутся ускоренно относительно системы отсчёта K′.
Получается полное несоответствие с тем, что уже давно открыто и экспериментально изучено классической физикой, вследствие чего она не ограничивается кинематикой, но релятивистами их извращение подаётся с позиции некоторого глобального прозрения с претензией на первенство: «представление наше будет достаточно глубоким только в том случае, если системы K и K′ окажутся равноценными относительно всех физических явлений, т.е. если законы природы по отношению к системе отсчёта K полностью совпадут с законами природы по отношению к системе K′» {2, с. 167}. Или более конкретно: «Несомненно, что геометризация гравитационных сил, позволяя построить эту обширную кинематику, эту теорию свободных движений, увязанных с более богатыми геометрическими структурами, обладает неограниченной красотой, придающей особую убедительную силу» {3, с. 194}.
Понятно, что, манипулируя законами подобным образом, можно вывести всё, что пожелаешь, включая и зависимость скорости света от гравитационного потенциала, при выводе которой Эйнштейн как раз и использовал свою «эквивалентность», а в добавление к этому подменил распространение света изменением скорости движения самой системы отсчёта, заявив: «Лучи достигнут системы S1 спустя время h/с (в первом приближении). В этот момент система S1 обладает относительно K0 (т.е. относительно некоторой неподвижной ИСО – авт.) скоростью γh/c = v . Поэтому согласно обычной теории относительности, достигшее излучение имеет не энергию Е2, а бóльшую энергию Е {2, с. 168}. Получается, что ускоряется система отсчёта и связанное с ней тело, на него действует гравитационное поле, а свет распространяется со своей неизменной скоростью относительно этой системы отсчёта. В результате этого свет не только приобретает дополнительную энергию, но главное – изменяет свою скорость, в противоречие со Специальной теорией относительности, на основе которой производился вывод, и в рамках которой скорость света постулирована константой. Причём постулируется не только в одной ИСО, но и при переходе в другую ИСО согласно релятивистскому закону сложения скоростей, и даже в собственную ИСО при выводе релятивистского ускорения. Приписывать некоторую массу свету, как и изменять его скорость в этом случае, принципиально некорректно. Поэтому Абрахам, безусловно, был прав, заключив, что этим «Эйнштейн «нанёс завершающий удар теории относительности, отказавшись от постоянства скорости света и от связанной с этим инвариантности системы уравнений относительно преобразований Лоренца»» {1, с. 85}. Как бы на это ни отвечал Эйнштейн, мол, «сомневаться во всеобщей справедливости принципа относительности нет ни малейшего основания» {1, с. 85}, сам факт того, что для изменения скорости света он использовал преобразования Лоренца, автоматически уничтожает С-постулат, а с ним и сам вывод этих преобразований в Специальной теории относительности.
Налицо всё та же спекуляция, которой так бойко манипулировал Э. Мах, подменив вращение ньютоновского ведра вращением Вселенной вокруг этого ведра, опустив базовый момент, что одной кинематикой физика не заканчивается и если подобная подмена справедлива, то должно соблюдаться и равенство усилий по раскручиванию Вселенной вокруг ведра с раскручиванием самого ведра. Если усилия разные, то раскручивают ведро и именно его, а Маху можно было бы уже при его жизни, как Ксанфу, предложить выпить море.
Подобные подходы прослеживаются и при материализации релятивистами энергии. Проблема была поднята классической физикой в конце 19 века и совсем в ином ракурсе: Ещё в 1881 г. Д.Д. Томсон в своей книге «Recollections and Reflections» следующим образом описал введенное им понятие электромагнитной массы: «по максвелловской теории магнитная сила пропорциональна скорости изменения электрической силы. Если е – заряд и v – скорость, то электрическая сила в данной точке пропорциональна е, а скорость её изменения пропорциональна ev; следовательно, в любой точке должна существовать магнитная сила, пропорциональная ev; но там, где есть магнитная сила, имеется энергия и величина энергии на единицу объёма пропорциональна квадрату магнитной силы. Следовательно, энергия в пространстве вокруг движущегося заряда должна быть равна величине Ae²v², где А – положительная величина, зависящая от формы и размеров заряженного тела. Если частица не заряжена, её энергия должна быть mv²/2, m – масса частицы. Следовательно, кинетическая энергия заряженного тела будет (m/2 +Ae)v², т.е. его кинетическая энергия и, следовательно, его поведение под действием силы будут такими же, как если бы его масса была не m, а (m/2 +Ae). Следовательно, масса возрастает при заряжении и поскольку возрастание обусловлено магнитной силой в пространстве вокруг заряда, то приращённая масса находится в этом пространстве, а не в заряженной частице» {1, с. 39-40}.
В цитате, прежде всего, обращает на себя внимание откровенная нелогичность, обусловленная тем, что к энергии тела, зависящей от его инертной массы, добавляется энергия внешнего воздействия, да причём не суммарная по пространству, а некоторая локальная (выделено в тексте курсивом). Это всё равно, что в механике приплюсовывать энергию тела, на которое производится воздействие, к энергии тела которое производит воздействие (а вместе с этим и инерцию воздействующего тела, не относящуюся к инерции ускоряемого тела) и энергия этого воздействия никоим образом не связана с инерцией самого тела, на которое воздействуют.
Но даже это заведомо некорректное предположение было дополнительно искажено целой цепочкой «исследователей», включая Абрахама, Лоренца и других вплоть до Эйнштейна, последовательно вытравивших из исходного предположения суть электромагнитной добавки, заменив её мнимой деформацией систем отсчёта в преобразованиях Лоренца или ростом массы от относительной скорости системы отсчёта у релятивистов. Вследствие этого появились продольная и поперечная массы, вконец уведя мысль исследователей от изучения самой природы, зациклив её на собственных измышлениях.
Понятно, что добавленная энергия в виде фиктивной электромагнитной массы только нарушает эквивалентность, в рамках которой производились все исходные рассуждения. Ведь при этом у ускоряемого вдоль движения орбитального тела в гравитационном поле, продольное ускорение будет определяться одной массой, а гравитационное притяжение – другой и эти массы будут неравными как по Абрахаму, Лоренцу, так и по Эйнштейну. Так что приплюсовывать что-либо хоть к инерционной, хоть к гравитационной массе, хоть преобразованием систем отсчёта в четырёхмерном пространстве, – бессмысленно, поскольку это автоматически приводит к нарушению эквивалентности самих масс.
С другой стороны, если говорить об инертной массе, то, действительно, в сложных динамических системах противодействие изменению состояния движения элементов этих систем, ассоциируемое с инерцией, будет отличаться от привычного.
Рассмотрим, например, полубесконечную механическую, упругую систему с сосредоточенными массами, представленную на рис. 1.

Рис. 1. Общий вид модели полубесконечной упругой линии с сосредоточенными массами {4, c. 17}

Моделирующая система уравнений имеет стандартный вид, будучи основанной на базе второго закона Ньютона.
(2)
Здесь m – масса сосредоточенного элемента упругой системы, кг; s – упругость связи, Н/м F(t) = F0 exp(iωt) – внешняя периодическая сила, действующая на упругую систему, Н; 1 ≤ n ≤ ∞ .
Точным аналитическим решением данной системы уравнений в периодическом режиме вынужденных колебаний является выражение {4, c. 17}:
(3)
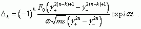
где Δn – мгновенное смещение n-го элемента;
(4)
Поскольку сила воздействует на первый элемент системы, то для самой силы инерцией всей системы будет инерция этого первого тела, для которого смещение будет записано в виде
(5)
Найдя вторую производную от смещения первого элемента, мы определим его ускорение под воздействием внешней силы (внутренние силы как раз и будут изменять инерцию):
(6)
С учётом значения внешней силы, выражений (5), (6) и второго закона Ньютона в комплексной плоскости можно определить инерцию системы М внешнему воздействию, которая определится выражением
(7)
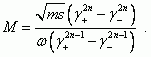
Модуль инерции системы равен
(8)
Решения показывают, что реакция динамической системы в периодическом режиме является комплексной и это не потому, что решение проводилось в комплексных функциях, а потому, что существует и фазозависимая реакция других элементов динамической системы на первый, изменяющие его реакцию на внешнее воздействие. При этом действительная компонента равна только половине массы самого элемента, на который производится воздействие. Мнимая компонента инерции системы ответственна за запаздывание реакции по сравнению с фазой воздействия и по знаку носит индукционный характер, т.е. определяет передачу возбуждения вдоль линии. И сам модуль инертной массы не остаётся постоянным, уменьшаясь с ростом частоты.
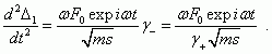
Продолжая рассмотрение, покажем, что в апериодическом режиме характер инертной массы системы, определяемый точкой приложения силы, изменяет свою зависимость.
Решение для этого диапазона имеет вид:
(9)
где
(10)
Для первого элемента имеем
(11)
Вторая производная от Δ1 равна
(12)
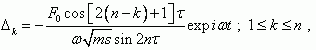
Масса как мера инерции динамической системы на внешнее воздействие определится выражением
(13)
Обращает на себя внимание отсутствие мнимой компоненты инертной массы несмотря на то, что весь вывод тоже производился в комплексных функциях. Это свидетельствует о том, что появление мнимой компоненты массы в периодическом режиме является не случайностью, но закономерностью, характеризующей особенности инерции динамической системы в этом диапазоне частот.
Графики зависимости компонент инертной массы во всём диапазоне частот представлены на рис. 3.
Рис. 2. График изменения реальной (Re M) и мнимой (Im M) компонент инерции полубесконечной упругой линии с сосредоточенными параметрами от частоты; m = 0,01 кг, s = 100 Н/м

Как видим, реакция упругой системы не остаётся постоянной, в общем случае содержит мнимую компоненту, убывающую с ростом частоты, и все эти особенности обуславливаются самой динамической системой. Но никогда реальная компонента инерции системы не равна массе первого элемента, как это было бы в случае воздействия гравитационного поля, но только приближается к ней с ростом частоты в апериодическом режиме. Однако с приближением инерции системы к массе первого элемента колебания локализуются в области этого элемента, очень быстро затухая вдоль линии.
Чтобы продемонстрировать изменение инерции с изменением структуры упругой системы, рассмотрим решения, полученные для конечной динамической системы с сосредоточенными параметрами, схема которой представлена на рис. 3.

Рис. 3. Схема конечной, однородной, упругой линии с незакреплёнными концами

Решение для периодического режима колебаний имеет вид {6}
(14)
где n – количество элементов упругой линии. Для первого элемента, на который воздействует сила, имеем:
(15)
Инерция конечной упругой линии в периодическом режиме колебаний будет равна
(16)
Выражение (16) показывает, что для конечной однородной линии с незакреплёнными концами инерция на внешнее воздействие положительна и строго действительна.
В апериодическом режиме колебаний имеем
(17)
Для первого тела имеем
(18)
и инерция упругой системы равна
(19)
График изменения реакции системы от частоты представлен на рис. 4.

Рис. 4. График изменения инерции M конечной упругой линии с сосредоточенными параметрами от частоты f ; m = 0,01 кг, s = 100 Н/м, n = 10
Характерной особенностью представленной зависимости является гармоническое изменение инерции системы с частотой с уменьшением периода с ростом частоты в области периодического режима колебаний. При этом инерция периодически становится отрицательной, что означает движение тела, на которое производится воздействие встречно воздействующей силе. Более явно отрицательная инерция проявляется в динамических системах с резонансными подсистемами, которые были исследованы в {7}, но имеют место уже в однородной конечной упругой системе. Также, встречное силе движение не означает, что вся динамическая система движется тоже встречно силе, поскольку инерция на воздействие силы определяется только зоной контакта.
В апериодическом режиме инертная масса системы асимптотически приближается к массе элемента системы, на который производится воздействие. При этом сами колебания, как и в случае полубесконечной динамической системы, локализуются в области этой массы, как показано на рис. 5.
Рис. 5. Колебания упругой линии с сосредоточенными параметрами в критическом режиме.

Представленные нюансы появляются даже при предельном переходе показанных решений к полубесконечной линии с распределёнными параметрами.
Действительно, решение для полубесконечной линии с распределенными параметрами имеет вид {5}
(20)
где δk – смещение бесконечно малого элемента упругой линии с координатой xk0 под действием внешней периодической силы; ρ – плотность упругой линии, кг/м; Т – натяжение линии, Н. Решение для точки контакта получим при xk0 = 0. При этом, смещение свободного конца полубесконечной линии, на который воздействует сила, будет определяться выражением
(21)
а инерция входа линии будет равна
(22)
Как видим, инерция чисто мнимая и гиперболически убывает с частотой, что свидетельствует о том, что реакция линии смещена по отношению к фазе действующей силы на π/2. Данная мнимость инерции является следствием того, что при предельном переходе от линии с сосредоточенными параметрами, первая масса, на которую воздействует сила, становится бесконечно малой и остаётся только мнимая компонента инерции, а апериодический режим в линиях с распределёнными параметрами отсутствует. Но и в этом случае инерция обратно пропорциональна частоте воздействующей силы, как и в линии с сосредоточенными параметрами, а не остаётся постоянной, как это было бы в случае действия гравитационного поля, воздействующего на все элементы динамической системы одновременно.
Следует также отметить, что в работе намерено использовались статьи для полубесконечной и конечной упругих линий, в которых проводятся полные проверки решений, показывающие, что с одной стороны, решения получены для стандартных систем уравнений, базирующихся на втором законе Ньютона, а с другой стороны, что эти решения полностью удовлетворяют всем моделирующим уравнениям.
Таким образом, на различных моделях показано, что инертная масса в динамике не остаётся постоянной и зависит от частоты, что не позволяет обобщать эквивалентность масс в качестве всеобщего закона. С другой стороны, учитывая, что все без исключений гравитирующие тела являются динамическими системами, состоящими из определённых решёток атомов, говорить об эквивалентности инертной и гравитационной масс в общем случае также не представляется возможным, кроме статики или стационарного движения, т.е. когда динамика не проявляется. Да и в этих случаях, как было показано выше, эквивалентности по релятивизму не наблюдается, если решать задачи в рамках динамики, не ограничиваясь кинематикой. Тем более, что если расстояние между гравитирующими телами изменяется во времени, изменяя амплитуду воздействующего внешнего поля, как в случае, исследованном в {8}, то в определённых случаях может проявляться и мнимая компонента инерционной массы. Однако и в этих случаях различие между поведением гравитационной системы и ускоряемой системы будет проявляться в том, что гравитационное поле будет действовать на все элементы системы, а контактное ускорение – только на отдельный элемент (или ограниченную совокупность элементов) динамической системы. Подобные замены, производимые релятивистами, ведут к ложным выводам и построениям, как бы внешне красиво они ни выглядели.

Литература:
1. Кудрявцев П.С. История физики. Том 3. – М., Просвещение, 1971.
2. Эйнштейн А. О влиянии силы тяжести на распространение света. Собр. соч., т. 1, с. 165-174. – М., Наука, 1965.
3. Тоннела М.А. Экспериментальные проверки общей теории относительности. – // Эйнштейновский сб. 1969-1970, с. 177-194. – М., Наука, 1976.
3. Каравашкин С.Б. Точное аналитическое решение задачи о колебаниях одномерной бесконечной упругой линии с сосредоточенными массами – // Материалы, технологии, инструменты (НАН Беларуси), 4 (1999), 3, 15–23.
5. Каравашкин С.Б., Каравашкина О.Н. Проблема граничных условий – // блог «Classical Science».
6. Каравашкин С.Б. Точное аналитическое решение задачи о колебаниях конечной одномерной упругой линии с сосредоточенными массами – // Материалы, технологии, инструменты (НАН Беларуси), 4 (1999), 4, 5–13.
7. Каравашкин С.Б., Каравашкина О.Н. К расчету колебательных систем со сложным резонансом. Труды СЕЛФ, 2 (2002), 1, 48–59, опубликована также в электронном журнале MIS-RT, номер 30-1 (2003).
8. Каравашкин С.Б. О перигелии Меркурия – // блог «Classical Science».

Комментарии

Комментарии не найдены ...
Добавлять комментарии могут только
зарегистрированные пользователи!
 
Имя или номер: Пароль:
Регистрация » Забыли пароль?
бог 114 вера 3 дух 11 любовь 114 троица 105 ум 36 богородица 3 человек 8 отец 5 сущность 3 время 7 истина 7 свобода 3 интернет 4 дух святой 4 алексей семихатов 9 гравитация 6 хаос 3 энтропия 4 искусственный интеллект 9 борис бояршинов 4 нейтрино 3 криптовалюты 3 комплексное запаздывание 5 термояд 3 эффект доплера 6 физика 4 фильм 3 квантовая механика 5 истинные и мнимые лучи 3 фотон 3 чёрные дыры 4 сто 13 алексей савватеев 7 владимир сурдин 3 новый ролик 8 черная дыра 3 скорость света 3 видео 9 пространство 6 космология 4 материя 3 гравитационные волны 7 эфир 6 горизонт событий 4 ото 5 будущее 3 космос 5 россия 4 сознание 3 вселенная 3 квантовая физика 4 электромагнетизм 3 лиго 4 луна 3 разум 6 рассудок 3 теория относительности 4 ложность релятивизма 4 дети 3 энергия 3 благодать 4 математика 4 спасение 3 крест 3 дифракция 3 химия 5 воля 4 золотое сечение 3 марс 3 классическая физика 4 майкельсон 3 преобразования лоренца 4 христос 4 логика 3 эфирный ветер 4 святой дух 3 сын 4 вода 3 иисус христос 12 путь 3 гипотеза 3 наука 4 gps 3 черные дыры 3 большой адронный коллайдер 4 решение 4 мир 3 история 3 эксперименты 3 лечение рака в израиле 3 методы лечения рака в израиле 3 биография 4 история открытия 3 темная энергия 3 погрешность 3 метрология 3 измерения 5
 
© decoder.ru 2003 - 2025, создание портала - Vinchi Group & MySites
ЧИСТЫЙ ИНТЕРНЕТ - logoSlovo.RU