Парадокс близнецов




(расширенная версия)
С.Б. Каравашкин, О.Н. Каравашкина
e-mail: selftrans@yandex.ru, selflab@mail.ru

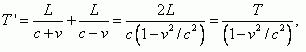
Казалось бы, уже ничего нельзя сказать по данной теме. За многие годы ожесточённых споров между релятивистами и их оппозицией обеими сторонами было выдвинуто огромное число версий, как в пользу одновременного старения близнецов, так и против. Вводили трёх и четырёх близнецов. Пытались учитывать или пренебрегали интервалами ускоренного движения, рассчитывали траектории, даже привлекали к решению общую теорию относительности на участках ускоренного движения, хотя в сам вывод замедления времени в СТО эти участки не входят. Как известно из СТО, в эйнштейновских преобразованиях времени, если «относительно системы отсчёта К часы движутся со скоростью v; при наблюдении из этой системы отсчёта между ударами этих часов проходит не секунда, а
(1)
секунд, т.е. несколько большее время. Часы, вследствие своего движения, идут медленнее, чем в состоянии покоя. Здесь скорость с также играет роль недостижимой предельной скорости»
[1, с.549].

Если верить Л. Мардеру [2], обработавшему по данной проблеме 325 источников, именно это, а также эквивалентность ИСО, провозглашаемая самими релятивистами, являлась исходной базой для спора по проблеме близнецов. Это, в своей совокупности, опровергало факт неодновременного старения одного из близнецов. Обратимость измерений вследствие эквивалентности систем отсчёта сводила материализацию трансформации времени на нет, о чём и писал Дингл, развернувший в очередной раз в 1954 году дискуссию по парадоксу близнецов,: «резюмируя, скажем, что если пренебречь ускорениями, то из соображений симметрии вытекает невозможность различий в показаниях часов при встрече» [2, с. 128].

Даже попытки свести трансформацию времени к эффекту Доплера неспособны привести к релятивистскому результату. Ведь исходно, при выводе уравнений преобразований в релятивизме, часы юстировались во взаимно неподвижном положении, после чего одни из них ускорялись и юстировки после этого не проводились, а только сравнения, не влияющие на ход часов, а потому сами сравнения не могли свидетельствовать о замедлении времени как такового. Часы шли своим ходом, как было исходно задано. К тому же, сверка часов световыми лучами с учётом эффекта Доплера приводит к тому, что для первого близнеца сигнал, посланный вторым близнецом, трансформируется точно так же, как для второго близнеца, посланный первым. Кто из близнецов должен при этом корректировать свои часы? А если попеременно оба будут корректировать, изменяя передаваемые частоты по принимаемым частотам, то в результате у обоих близнецов при взаимном удалении частота передаваемого сигнала от сверки к сверке будет неограниченно уменьшаться, а при сближении – неограниченно расти в степенной зависимости.
Так что переход к проблеме влияния ускорения, как и переход в ОТО, нужен был не оппозиции релятивизма, а самим релятивистам, свернувшим свою невозможность разрешения парадокса в рамках СТО на оппозицию: «Дингл ощущает, что многое из того арсенала, который мы называем «обычной» точкой зрения, оказывается внутренне несогласованным и в общем противоречивым, когда он заводит речь о роли ускорения» [2, с. 128].

Тем не менее, определяющую роль ускорения отмечал задолго до этого Эйнштейн в работе «Диалог по поводу возражений против теории относительности» признав ещё в 1918 году, что в вопросе близнецов системы отчёта не являются эквивалентными именно вследствие ускорения одной из них, а не как следствие прямого применения релятивистского сокращения времени: «Согласно теории относительности, системы отсчёта K и K' никоим образом не являются равноправными. В самом деле, эта теория утверждает равноценность только всех галилеевых (неускоренных) систем координат, т.е. таких систем координат, по отношению к которым в достаточной мере изолированные материальные точки движутся прямолинейно и равномерно. Такой системой координат является, конечно, система K, но не ускоряющаяся время от времени система K'. Поэтому нельзя выдвинуть никаких возражений против основ теории относительности, исходя из того результата, что часы U2 после передвижения туда и обратно отстают от часов U1» [3, с. 618].

Возникает естественный вопрос: сколько раз нужно ускорять часы, чтобы системы стали неравноценными? Ведь совсем необязательно возвращать близнеца на Землю, чтобы зафиксировать замедление времени. Вполне достаточно воспользоваться понятием физического времени, сформулированным самим Эйнштейном для неподвижной ИСО: «совокупность всех этих часов, идущих в фазе друг с другом, и составит то, что мы называем физическим временем» [4, с. 149]. При этом близнецу в подвижной ИСО достаточно сверять часы с физическим временем часов неподвижной ИСО, расположенными вдоль его траектории движения, а ускорение, испытанное этим близнецом, было бы единственным. Может ли это единственное ускорение стать причиной неэквивалентности ИСО? Вероятно нет, поскольку сам Эйнштейн уже в первой своей работе «К электродинамике движущихся систем» ускорял систему отсчёта k после того, как во взаимно неподвижном состоянии с системой K была проведена полная синхронизация длин и часов: «пусть теперь началу координат одной из этих систем (k) сообщается (постоянная) скорость; эта скорость передаётся также координатам, осям, а также соответствующим масштабам и часам» [5, с. 13]. И при этом эквивалентность систем отсчёта сохранилась. В обратном случае вывод преобразований Лоренца был бы некорректным, как результат нарушения базового постулата эквивалентности, заложенного в основу теории относительности.

Мардер попытался ответить на этот вопрос, записав: «Полное действие прошлых ускорений существенно (в данном контексте) лишь в той мере, в какой они определяют скорость звезды относительно астронома» [2, с. 128]. Но это нельзя назвать определённым ответом, поскольку опять неясно, как и в какой степени ускорение в данном случае влияет на конечную скорость. Тем более, что в самом законе релятивистского сокращения времени никаких членов, отвечающих за выделение той или иной системы отсчёта нет. Также и времена ускорения/торможения фиксированы в то время, как время равномерного полёта может быть выбрано произвольно, а в формуле замедления времени стоит не набор временных отрезков ускорения/торможения, а всё время движения, причём с постоянной скоростью.

В своём отрицании парадокса, релятивисты доходят до того, что на это сокращение даже влияет неодновременность событий: «Метод измерения релятивистского замедления времени имеет свою особенность. Она заключается в том, что показания двух движущихся друг относительно друга часов (и длительности жизни двух движущихся друг относительно друга мюонов) непосредственно сравнивать невозможно. Можно говорить, что единичные часы идут всегда замедленно по отношению к множеству синхронно идущих часов, если единичные часы движутся относительно этого множества. Показания же множества часов, пролетающих мимо единичных часов, напротив, всегда меняются ускоренно по отношению к часам единичным. В этой связи термин «замедление времени» является бессмысленным без указания того, к чему это замедление относится — к единичным часам или к множеству синхронизированных и покоящихся друг относительно друга часов» [6]. Из этого следует, что если часы, движущиеся относительно физического времени идут у них замедленно, то оказывается, что часы, показывающие физическое время в неподвижной ИСО, у них идут ускоренно, а не замедленно, как это должно было бы быть согласно полной обратимости формулы запаздывания времени. И здесь уже нет никакого влияния ускорения системы, а противоречие СТО есть и налицо.

Как видите, здесь уже не имеет значения, в рамках ОТО решается вопрос или всё же в рамках СТО, нужно ли учитывать интервалы ускоренного движения или нет и т.д. Сам факт придания скорости одной из систем отсчёта уже делает их неэквивалентными по Эйнштейну, уничтожая посылки СТО, а вместе с этим, и все её выводы с заключениями о сокращении длин и времени. И это уже связано с самим Эйнштейном, на словах боровшегося против Абсолютной Системы Отсчёта, а на деле исподволь установившим неэквивалентность на основе предварительной ускоренности одной из ИСО.

Экспериментальные подтверждения, представляемые релятивистами, не менее противоречивы, чем теоретические обоснования. Так, представляя в качестве подтверждения замедления времени процесс увеличения времени жизни короткоживущих частиц, В. Пановский пишет: «можно создать такой пучок мю-мезонов, движущихся со скоростью, приближающейся к скорости света. Так, если поместить мю-мезон с энергией 3 ГэВ в кольцевой магнит, как это делалось в последние годы в ЦЕРНе в Женеве, то так называемый коэффициент растяжения времени наблюдения оказывается равным примерно 30. Таким образом, мю-мезоны в покое будут иметь среднее время жизни в 30 раз меньше, чем частица с энергией 3 ГэВ, движущаяся по круговой орбите. Это явление очень точно согласуется с предсказаниями СТО» [7, с. 209].

Возьмём два отчёта о работах, проведенных на ускорителях, включая ЦЕРН [8], [9]. В обоих отчётах не фигурируют замеры убывания количества частиц (в том числе и мезонов) в камере с кольцевым магнитом. Все исследования сводятся к различным вариантам измерения расстояния между точкой образования короткоживущих частиц и точкой регистрации их распада. При этом, частицы не движутся равномерно, как того требует СТО. В регистраторе они движутся замедленно в пакетах фотоэмульсии или возбуждая вещество пузырьковой камеры. Достаточно предположить, что распад частицы происходит при определённой энергии и увеличение треков между входящими в регистрационную камеру частицами и точкой распада станет пропорциональным разности энергий. Окончательное же согласование может быть достигнуто у релятивистов практикой выбора удобных регистраций из огромного множества опытов.

Кроме указанных методов существует и метод регистрации по убыванию частиц. Он тоже связан с кольцевыми магнитами, но не за счёт убывания времени движения по круговой орбите, а путём фиксации убывания количества регистрируемых частиц при их пролёте между детекторами. Схема этой методики показана на рис. 1.

Рис. 1. Схема измерения скоростей и времён распада t быстрых частиц (а, б) и сравнение скорости света и электронов (в) [10]

Здесь действительно идёт измерение убывания числа частиц, но уже вне камеры. И здесь оказывается, что «поскольку частицы, летящие с разными скоростями, проходят прямой участок за неравные времена, то даже при равных временах пробега магнитных секций, полные периоды движения частиц по кольцу будут разными. Всё это поддерживает иллюзию скорости c у сверхсветовых частиц» [10].

Сам же факт убывания регистрации здесь не свидетельствует о времени жизни частицы и тем более, что убывание происходит именно для тех энергий, которые записаны в расчёте по СТО. Могут распадаться более медленные частицы, могут и более быстрые, а часть частиц могла распасться вообще на первом детекторе. Некоторые же долетают до второго регистратора и регистрируются, а значит, время жизни их ещё больше, чем рассчитывается по СТО. «Лишь однажды пытались напрямую измерить время жизни мюонов, влетающих на большой скорости в синхротрон. Но и там замеры были косвенными: детекторы фиксировали не сами мюоны, а электроны, возникшие при их распаде. Электроны регистрировали в течение времени, много большего, чем время распада медленных мюонов, что истолковали как рост времени их жизни. На деле мюоны распались за то же время, а возникшие электроны продолжали крутиться в ускорителе, постепенно выбывая из него от поглощения в детекторах и дрейфа вдоль линий магнитного поля» [10]. Может ли это служить подтверждением СТО? Конечно нет. Есть некоторая иллюзия, которую удобно представить как подтверждение СТО, и не более того.

С другим стандартным экспериментальным доказательством релятивистов – рассогласованием хода часов в GPS – вопрос стоит несколько иначе, хотя приводит к тому же неутешительному для них итогу. Чтобы показать, что чем подменяют релятивисты, рассмотрим стандартную схему атомных часов, сверкой которых выявляется рассогласование. Эта схема приведена на рис. 2.
Рис. 2. Блочная схема атомных часов [11]

Согласно этой схеме, атомные часы являются усовершенствованием кварцевых часов путём их корректировки частотой атомных переходов цезия 133: «В качестве источника резонансной частоты эти "устройства" используют квантовые энергетические уровни атомов или молекул. Квантовая механика связывает с системой "атомное ядро – электроны" несколько дискретных энергетических уровней. Электромагнитное поле определённой частоты может спровоцировать переход этой системы с низкого уровня на более высокий. И тем и другим явлением можно управлять и фиксировать эти энергетические межуровневые скачки, создав тем самым подобие колебательного контура. Резонансная частота этого контура будет равна разности энергий двух уровней перехода, делённой на постоянную Планка... Технически этого можно добиться следующим образом: пусть внешний, например кварцевый, осциллятор периодически генерирует электромагнитное излучение, заставляющее атомы вещества-донора прыгать по энергетическим уровням. При этом задачей настройщика атомного хронографа является максимальное приближение частоты этого кварцевого осциллятора к резонансной частоте межуровневого перехода атомов. Возможным это становится в случае достаточно большого периода наблюдения за колебаниями атомов и создания обратной связи, регулирующей частоту кварца» [12]. «Для того, чтобы атомные часы работали точно, цезий необходимо испарить в печи, в результате этого процесса выбрасываются его атомы. Позади печи находится сортирующий магнит, который обладает пропускной способностью атомов в состоянии (+), а в нем за счет облучения в микроволновом поле атомы переходят в состояние (-). Второй магнит направляет атомы, изменившие состояние (+) на (-) в приемное устройство. Много атомов, изменивших свое состояние, получается лишь в том случае, если частота микроволнового излучателя в точности совпадет с частотой колебаний цезия 9 192 631 770 герц. Иначе, количество атомов (-) в приемном устройстве уменьшается» [13]. Сравнение частот как раз и происходит в резонаторе, как хорошо видно их блочной схемы атомных часов, использующихся в GPS, которая приведена на рис. 3.

Рис. 3. Компактный вариант атомных часов на основе цезиевого фонтана, называемый "Aerospace Cold Atom Clock", используется в спутниках системы GPS [12]

и на анимации на рис. 4

Рис. 4. Схема работы атомных часов [14]

В свою очередь, особенностями резонатора является то, что резонанс в нём зависит от длины резонатора, определяемой множественными отражениями от его стенок, а значит, и от эффекта Доплера, что действительно регистрировалось на скоростях ионов Цезия: «кроме проблемы снижения резонансной ширины, в атомном хронографе существует масса других проблем.

Это и допплеровский эффект – смещение резонансной частоты вследствие движения атомов, и взаимные столкновения атомов, вызывающие незапланированные энергетические переходы, и даже влияние всепроникающей энергии тёмной материи»
[12].

Но смещение резонансной частоты связано не только с подвижностью атомов цезия. При движении резонатора как целого, одна из стенок постоянно будет «убегать» от излучателя, а вторая «набегать» на него. Согласно классическому эффекту Доплера это приведёт к эффективному сокращению длины резонатора как раз на тот релятивистский коэффициент, который воспринимается как замедление времени, хотя реальная длина резонатора не изменилась, как и само время. Изменились условия прохождения ЭМ волн, изменяя тем самым резонансную частоту. А поскольку, согласно рис. 2, изменившаяся частота резонатора автоматически влияет на частоту кварцевого генератора, то как бы мы ни пытались скорректировать время на орбите, резонатор будет возвращать кварц в то состояние, которое было задано смещённым резонансом резонатора. Ведь «при появлении разницы в фазе и частоте колебаний схема обратной связи подстраивает частоту кварцевого генератора до требуемого значения, повышая тем самым стабильность и точность часов» [11].

При этом изменение периода колебаний в резонаторе будет в том же направлении, которое «предсказывают» релятивисты, т.е. на увеличение периода, поскольку согласно классическому эффекту Доплера
(2)
т.е. в соответствии с (1). В противоположность этому, если бы время на орбите определялось именно релятивистскими эффектами сокращения, то после корректировки времени уже не появлялось бы реальных причин для систематической ошибки. Только наличие обратной связи в самих атомных часах способно восстановить систематическую погрешность после корректировки.

Таким образом, на двух примерах самых разнородных физических процессов мы видим, что эффекты, которыми релятивисты «подтверждают» свою теорию, принципиально различны и независимо от представлений релятивистов это реальные физические процессы, а не мифическое сокращение времени.

Ограничиваясь же рассуждениями типа «Общая теория относительности (ОТО) предсказывает, что часы в более сильном поле тяготения идут с меньшим темпом. Специальная теория относительности (СТО) предсказывает, что движущиеся часы кажутся идущими медленнее, чем неподвижные часы. Примечательно, что эти два эффекта компенсируют друг друга для часов, расположенных на уровне моря где-нибудь на Земле. Так, если в качестве опорных использовать гипотетические часы на северном или южном полюсе Земли, то часы на земном экваторе идут медленнее из-за относительной скорости вследствие вращения Земли, но быстрее из-за большего расстояния от центра масс Земли вследствие сплющенности Земли. Из-за того, что скорость вращения Земли определяет ее форму, эти два эффекта не являются независимыми, и именно поэтому они не полностью компенсируют друг друга. Однако в общем случае компенсации не происходит. Часы на любой высоте над уровнем моря идут быстрее, чем часы, находящиеся на уровне моря; а часы на движущейся ракете идут медленнее, чем неподвижные часы» [15] – те самые реальные физические эффекты отбрасываются в сторону, хотя независимо от корректности самих релятивистских эффектов должны были бы давать дополнительный вклад в регистрируемые значения, полностью нарушающий согласование с релятивистским расчетами.

К тому же, указывая на совместное влияние поправок СТО и ОТО на ход световых часов, релятивисты не осознают, что тем самым они автоматически уничтожают основы своей конепции. Действительно, главным условием справедливости концепции СТО Эйнштейн выдвигал отсутствие влияния ЭМ полей на распространение света: «электромагнитные явления в пустоте вполне определяются содержащимися в этих уравнениях законами, независимо от других физических величин. Электромагнитное поле является первичной, ни к чему не сводящейся реальностью, и потому совершенно излишне постулировать ещё и существование однородного изотропного эфира и представлять себе поле как состояние этого эфира» [16, с. 686]. Это условие было обусловлено тем, что при признании ЭМ поля возбуждением некоторой материальной субстанции, или, хотя бы, связанным с ней, невозможно описать эту связь из взаимно движущихся ИСО, предполагая одновременно, что в обоих ИСО эта субстанция покоится.

Признавая влияние гравитации на скорость распространения света, релятивисты как раз и попадают в эту парадоксальную ситуацию, поскольку Эйнштейн вынужден был признать материальность гравитационного поля, без чего вся его концепция ОТО была бы ложной и изгибать было бы просто нечего. «Эфир общей теории относительности есть среда, сама по себе лишённая всех механических и кинематических свойств, но в то же время определяющая механические (и электромагнитные) процессы» [16, с. 687-688].

Таким образом, рассчитывая одновременное влияние сокращения времени по СТО и трансформацию времени по ОТО, релятивисты демонстрируют полное противоречие своей же концепции, поскольку признают связь света с гравитационной средой, а их расчёты представляются не более чем подгонкой в стремлении приписать экспериментальное подтверждение своей концепции откровенно противоречивыми, афизичными сентенциями.

И от того, что релятивисты склонны относить это к мнимой безграмотности оппонентов, их нелюбви к Эйнштейну, к неким национальным фобиям суть проблемы не меняется. Жёстко нарушена формальная логика построения теории и от этого никуда не уйти, как и никакими обвинениями в адрес оппонентов не снять. Проблема в самой теории, которая требует кардинального пересмотра. Чем дольше это не будет делаться, тем дольше человечество будет находиться на ложном пути, страдая всё новыми и новыми парадоксами вместо развивающих решений.

Литература:
1. А. Эйнштейн. О специальной и общей теории относительности (общедоступное изложение). – Собр. соч., т. 1, М., Наука, 1965, с. 530.
2. Л. Мардер. Парадокс часов. – М., Мир, 1974.
3. А. Эйнштейн. Диалог по поводу возражений против теории относительности. – Собр. соч., т. 1, М., Наука, 1965 г., с. 616.
4. А. Эйнштейн. Принцип относительности и его следствия в современной физике. – Собр. соч., т. 1, М., Наука, 1965, с. 138.
5. А. Эйнштейн. К электродинамике движущихся тел. – Собр. соч., т. 1, М., Наука, 1965, с. 7.
6. Релятивистское замедление времени – Википедия
7. В. Пановский. Специальная теория относительности в технике // в кн. Эйнштейновский сборник. – М., Наука, 1986, с. 196.
8. В. М. Раппопорт. Новые данные о времени жизни короткоживущих частиц // Успехи физическиx наук, 1984, апрель, том 142, вып. 4, сс. 677-687.
9. Прецизионное измерение времени жизни пи0 -мезона, основанное на эффекте Примакова, отчёт ЦЕРНа, 21.01.14.
10. Семиков С.А. Сверхсветовая техника – прорыв в будущее// "Инженер" №6-9, 2013.
11. Атомные часы – Википедия
12. Е. Лебеденко. Стрелы времени: как устроены атомные часы.
13. Атомные часы.
14. Как се мери време без часовник.
http://nauka.offnews.bg/news/Novini_1/Kak-se-meri-vreme-bez-chasovnik_70195.html
15. T. V. Flandern. What the Global Positioning System Tells Us about Relativity.
16. А. Эйнштейн. Эфир и теория относительности. – Собр. соч., т. 1, М., «Наука», 1965, с. 682.

Комментарии (146)

Всего: 146 комментариев
  
#1 | Анатолий »» | 09.04.2017 22:39
  
1
Очень интересная тема Сергей!

К этому вопросу я вообще подхожу совершенно с другой стороны.
Конечно вы можете не согласится с моим видением и пониманием,. но все же может попробуете?
Хотя предупреждаю что сложно будет воспринимать что я все же утверждаю.

Я это сформулировал в ответе:

http://www.decoder.ru/list/all_1/topic_243_22_3033/#c329

То есть.
Времени, как мы привыкли его считать нет!
Есть совершенно другое время Вселенной.
У нас же исключительно условное весьма субъективное представление о времени, которое якобы куда то течет, идет, движеться, да еще с какой то скоростью.

Время - МИГ - СЕЙЧАС во вселенной всегда присутствует. И он никуда не уходит. (как мы воспринимаем в прошлое) и никуда не идет в Будущее. Оно стационарно находиться в СЕЙЧАС.

Есть во Вселенной движение объектов, есть процессы.-- да они движутся, текут. Да у них есть скорость.
У кого то эта скорость больше, у кого то меньше.

Возражения что скорость мы измеряем временем - не принимаются, потому что время мы измеряем скоростью! Скоростью и расстоянием.
И привычные нам 24 часа - сутки - это прохождение точки А в ту же точку по окружности ввиду вращения нашей планеты Земля.
Это ПУТЬ который проходит точка А и проходит она с определенной скоростью.

То есть время мы фактически измеряем.. временем. (расстоянием и скоростью, а в скорость входит и время)
И как это не абсурдно, но это так.
Да мы так привыкли. И смотрим на часы сколько прошло времени. Но не время проходит, а проходит стрелка часов с определенной скоростью. И вот это мы и измеряем называя временем.
Мало того что все это условно. Это уж ладно, главное что мы в принципе не понимаем, что СЕЙЧАС никуда не движется.
Вселенная ВСЕГДА (для нашего понимания слово всегда) находиться в состоянии СЕЙЧАС,
И все процессы проходят именно в СЕЙЧАС.

То что для нас "было" его уже во Вселенной нет , причем его нет НИГДЕ!
А то что для нас "будет" так же нет во Вселенной НИГДЕ!

Это даже не то что СЕЙЧАС движется как бы по оси времени --- ВЕЧНОСТЬ.
Это СЕЙЧАС никуда не движется.

Исходя из этого, какая бы скорость не была объекта, время никак не может ни ускоряться не замедляться, потому что у него нет движения! Ведь ускоряться и замедляться течь медленнее - быстрее может только процессы и объекты движения!

В следствии этого. Какая бы не была скорость , у близнецов будет протекать одни и те же процессы. СТАРЕНИЯ. И стареть они будут примерно одинаково.

Да, можно еще поспорить, что ПРОЦЕССЫ изменяют свою скорость при изменении скорости движения Объектов у которых происходят какие либо процессы.
Но это вопрос очень спорный.
Мне кажется что никаких ускорений и замедление процессов при изменении скорости движения объекта не должно быть.

Причинно-следственная связь не зависит от скорости движения объекта.
А всякий процесс - это прежде всего причинно-следственная связь.


Ввиду этого время и не дискретно. Это не какой то промежуток (отрезок) Это есть абсолютное СЕЙЧАС - 0 времени!
Где причина и следствие есть некое единое целое.
#2 | Каравашкин Сергей »» | 10.04.2017 00:58 | ответ на: #1 ( Анатолий ) »»
  
0
Ну, Анатолий! Прямо по Аристотелю говорите. Сравните сами.
“Что время или совсем не существует, или едва [существует], будучи чем-то неясным, можно предполагать на основании следующего. Одна часть его была, и ее уже нет, другая – будет, и ее еще нет; из этих частей слагается и бесконечное время, и каждый раз выделяемый [промежуток] времени. А то, что слагается из несуществующего, не может, как кажется, быть причастным существованию. Кроме того, для всякой делимой вещи, если только она существует, необходимо, чтобы, пока она существует, существовали бы или все ее части, или некоторые, а у времени, которое [также] делимо, одни части уже были, другие – будут и ничто не существует. А “теперь” не есть часть, так как часть измеряет целое, которое должно слагаться из частей; время же, по всей видимости, не слагается из “теперь”. Далее, не легко усмотреть, остается ли “теперь”, которое очевидно разделяет прошедшее и будущее, всегда единым и тождественным или [становится] каждый раз другим. Если оно всегда иное и иное и во времени ни одна часть вместе с другой не существует (кроме объемлющей и объемлемой, как меньшее время объемлется большим), а не существующее сейчас, но прежде существовавшее по необходимости когда-то исчезло, то и “теперь” вместе друг с другом не будут [существовать], а прежнее всегда должно уничтожиться” [Аристотель. Физика, с. 145–146].
Но есть нюансы. Не время определяем временем, а движение-движением. Из этой разницы длинные ноги растут...
  
#3 | Анатолий »» | 11.04.2017 11:01 | ответ на: #2 ( Каравашкин Сергей ) »»
  
0
Для того что бы определить скорость нам нужно время.
Это некий эталон.
Но то что для нас удобно и приемлемо, вовсе не означает что нечто подобное существует в природе во Вселенной.

Куда сложнее это определить а что же проходит между двумя событиями?
Представим себе два события. Событие А и событие Б
Они не проходят одновременно. (вот видите мы уже автоматически употребляем слово ВРЕМЯ, потому что в корне слова одновременно есть слово время)
Хорошо. Как мы назовем ИНТЕРВАЛ, между двумя событиями. Чем мы его определим.
Мы определяем этот интервал ВРЕМЕНЕМ.
Но это искусственно.
Потому что между тем событием А и событием Б ничего не "течет" Они не связаны между собой. Они самостоятельны.

Пусть нам удобно измерять интервал временем, но на самом деле просто в этот промежуток происходит множество других событий.
Причем все эти события проходят в период СЕЙЧАС.
Это сейчас не перемещается по оси времени. Оно просто присутствует ПОСТОЯННО во Вселенной.
Если бы сейчас перемещалось бы по оси времени, тогда да, время существует и даже имеет скорость перемещения.
Но куда ему перемещаться?

Искусственно мы РАЗДЕЛИЛИ это общее СЕЙЧАС на множество отрезков времени (сутки, час, минута, секунда)

И я не призывают от этого отказаться. Просто надо ПОНЯТЬ, что это фикция и искусственно
Конечно вопрос а что же лежит в интервале между двумя событиями А и Б. И чем измерить этот инитервал.
Традиционно - временем.
Но чем в действительности - не знаю.
#4 | Каравашкин Сергей »» | 11.04.2017 13:04 | ответ на: #3 ( Анатолий ) »»
  
0
Мы слишком привыкли к часам, забывая, что единица, заложенная в сами часы формируется движением чего-то относительно чего-то. Нет движения, нет времени, а скорость - это уже вторичное понятие, характеризующая движение. Само же движение не имеет размерностей. Это только и исключительно смена мест материальными телами. А вот когда мы одно движение начинаем измерять в единицах другого движения, взятого за эталонное, появляется относительное время, такое привычное для нас.
Точно также исходно длина не имеет размерность. Это всего лишь протяжённость между телами, но как только мы начинаем измерять эту протяжённость в единицах эталонной для нас протяжённости: локтях, ладонях, ступнях, полётах стрелы и проч, появляется привычная нам длина, как относительная мера.
Так что и время, и длина не фикция. Это просто относительные меры движения и протяжённости и это как раз по Ньютону.
  
#5 | Анатолий »» | 11.04.2017 14:00 | ответ на: #4 ( Каравашкин Сергей ) »»
  
0
Я не говорю что время это фикция. Просто Время требует совершенно другое понятие. Мы не правильно ВОСПРИНИМАЕМ время.
У нас иллюзорное восприятие.

***


У меня вот какой вопрос. Он вроде бы не касается темы, но потом объясню что очень даже касается.

Итак.
Пример.
Идет поезд.
Вы в поезде. Катите скажем в тамбуре шарик от подшипника Ну или мяч.
Если вы его катите по движению поезда и против движения поезда с одинаковым усилием. Расстояние на какое прокатился шарик - мяч
одинаковое, или будет разность?

2 пример.
Вы делаете то же самое но высовываетесь из окна поезда и бросаете шарик с одинаковым усилием по движению поезда и против движения поезда.
Могу сразу сказать, что если будете бросать по движению поезда, то путь который проделает шарик будет короче пути , если вы бросили его против движения поезда.
Это связано с тем прежде всего что есть СОПРОТИВЛЕНИЕ ВОЗДУХА.
Воздух это СРЕДА, и если кидать мяч в эту среду то сопротивления воздуха скажется если бросать мяч по направлению движения поезда.

3 пример.
Космонавт вышел с космического корабля в открытый Космос.
Он не прикрепился к кораблю тросом.
Станет ли он постепенно отставать от корабля если он чуть чуть оторвется от поверхности корабля?

Мне кажется будет отставать. Причем точно так же будет отставать как и мяч брошенный в окно не по направлению движения поезда и не в противоположную сторону. (мяч брошенный перпендикулярно движению)
То что мяч брошенный перпендикулярно будет лететь по траектории отставая от поезда связано со средой - воздухом.
или не только со средой?
Вопрос важный.


Эти вопросы я к чему задаю. Дело в том что если ЭФИР - это СРЕДА, то какая бы она не была разряженной, но будучи средой обязательно приведет к тому что космонавт будет отставать от космического корабля.
Но может быть он будет отставать и по другим причинам.
Хочу в этом разобраться. пока не получается. Путаюсь.

Для решения вопроса.
4 пример.
Два космических корабля соединены между собой. параллельно (!)
Один имеет форму остроконечной сигары,
А другой имеет форму носа корабля тупую.
Корабли имеют одинаковую массу.

Если Эфир - это среда. То при отсоединении кораблей друг от друга корабль с тупым носом станет отставать от корабля с острым носом..
Да отставание будет очень и очень медленным (так как сопротивление Среды - Эфира очень маленькое ) Но... все равно будет.
Скажем за 1 или 2 месяца на 1 см. дело сейчас не в количестве, а в принципе.


***

Вообще я считаю что пространство Космоса это СРЕДА. Безотносительно Эфира.
Потому что там есть пусть очень разряженное и имеющее малое количество атомов, а так же излучение. А всякие излучение - это уже среда.
Так же присутствует и гравитация, которую так же можно рассматривать как среду.
Так что вакуум не вакуум, эфир не эфир но Космос это все равно безотносительно этого СРЕДА..

Это я к тому что постоянная скорость света может быть только в системе БЕЗ СРЕДЫ. Это уже Инерциальная система . (по Ньютону) где не действуют НИКАКИЕ СИЛЫ. (всего лишь гипотетическая идеальная система, которой НИГДЕ во Вселенной НЕТ!)

Но так как Космос это среда и в нем присутствуют разные силы, то скорость света не может быть постоянной.

Это с другой стороны уже рассмотрение вопроса о постоянстве скорости света в вакууме, где Эйнштейном просто ПОСТУЛИРОВАНО это постоянство , но этот постулат не имеет ничего общего с реальностью.
  
#6 | Анатолий »» | 11.04.2017 14:34
  
0
И между прочим.
СКОРОСТЬ можно измерять вовсе не через время и расстояние.
И даже не соотношением между скоростями (там опять будет присутствовать расстояние и время)
Вы скажете а как тогда?
Скорость можно измерять через ЭНЕРГИЮ И МАССУ И СОПРОТИВЛЕНИЕ СРЕДЫ.

Если есть величина которой измеряется энергия.
Если есть величина которой измеряется Масса.
То скорость вычисляется.
При одинаковых массах тела. И при одинаковой среде, только Энергией можно измерять разность скоростей.
Чем больше энергии тем больше будет скорость.

Пояснение:
Для движения надо задать энергию толчка для тела которое обладает определенной массой.
Чем больше энергии расходуется тем скорость движения объекта - тела будет быстрее.
  
#7 | Анатолий »» | 11.04.2017 14:54 | ответ на: #4 ( Каравашкин Сергей ) »»
  
0
И наконец тоже очень интересно.

Время в нашем воображаемом узаконенном понимании ОДНОМЕРНО.
А на самом деле оно... НУЛЬ МЕРНО Это есть ТОЧКА - СЕЙЧАС.

С фантазией можно представить себе и двухмерное и трехмерное время. (и вообще много мерное)

Почему я против одномерного узаконено привычного времени.
Прочитайте что я пишу. Ну или Аристотеля.
Во Вселенной НИГДЕ НЕТ ни прошлого ни будущего, а есть только настоящее.
А наше воображение?
Извините. Тогда и Баба Яга существует. если считать что все что у нас в воображении есть во вселенной.
Наше воображение просто иллюзия. Да еще построенная на абсалютах и на абстракции.
#8 | Каравашкин Сергей »» | 11.04.2017 18:20 | ответ на: #5 ( Анатолий ) »»
  
0
Давайте по порядку. То, что шарик в вагоне имеет дополнительную скорость вагона, это система Галилея. И два шарика, выброшенные из окна (без сопротивления воздуха) с одинаковой скоростью в разные стороны, для наблюдателя в вагоне упадут на равных расстояниях от точки выброса, а при наличии сопротивления во движения вагона. Сопротивление же каждого будет определяться полной скоростью относительно воздуха и будет немного различным.
С космическими кораблями у разработчиков была исходно большая проблема. Если не оттолкнуть контейнеры с мусором, они так и будут следовать за кораблём. Но не стоит всё это автоматически переносить на эфир. Это особая субстанция и нам известны только её внешние свойства, волновая же физика не даёт ответов на внутренние свойства самой субстанции. Она подтверждает только связность субстанции, а дальше нужно исследовать. Измыслить эти внутренние свойства невозможно хотя бы потому, что там ответы на вопросы о таких аксиомах, как инерция, сущность полей, зарядов, а все модели, которыми пытаются смоделировать эфир, уже используются эти аксиомы, как базовые. Вот и получается масло масляное и ничего толком.
  
#9 | Анатолий »» | 11.04.2017 19:21 | ответ на: #8 ( Каравашкин Сергей ) »»
  
0
То что мусорные контейнеры двигаются вместе с кораблем - это понятно. Но ведь не исследовано сколько долго они они будут двигаться рядом с кораблем. А потом опыты с контейнерами не коретны, потому что массы разные у корабля и контенера, и сопротивление (если эфир имеет хоть какую-то материальность) примерно одинаковые.
Здесь нужно опыт с одинаковыми массами. но разными конструкциями. (одна из которых имеет обтекаемые формы, а другая напротив не обтекаемые.)
Нет. Вы правы. в том что

" Измыслить эти внутренние свойства невозможно хотя бы потому, что там ответы на вопросы о таких аксиомах, как инерция, сущность полей, зарядов, а все модели, которыми пытаются смоделировать эфир, уже используются эти аксиомы, как базовые. Вот и получается масло масляное и ничего толком."

Надо искать совершенно другой подход.
Не знаю какой. Но другой.

Скорее всего надо гипотетически построить разные МОДЕЛИ эфира, с разными свойствами. и находить такие опыты которые могут подтвердить или опровергнуть эти модели.
Так собственно говоря и делается, но видимо не в достаточной мере правильно.
#10 | Каравашкин Сергей »» | 11.04.2017 19:42 | ответ на: #9 ( Анатолий ) »»
  
0
Скорее всего надо гипотетически построить разные МОДЕЛИ эфира, с разными свойствами. и находить такие опыты которые могут подтвердить или опровергнуть эти модели.
Так собственно говоря и делается, но видимо не в достаточной мере правильно.
К сожалению, человек устроен так, что не может измыслить более того, чем скомпоновав уже известное. На существующем уровне аксиом физики, это приносит свои плоды, но когда мы пытаемся вторгнуться в терра инкогнито, получается сплошной конфуз.
Вот наглядный пример. В начала прошлого века Алёша Толстой описал фантастическую конструкцию гиперболоида инженера Гарина. С появлением лазеров, все начали отождествлять эту конструкцию с ними, но если вчитаться в само описание Толстым, то увидим, что гиперболоид работал совсем на ином принципе - на отражении и фокусировке тепловых лучей. То, чего не могут делать и до сих пор. Это другой принцип и другая эффективность процесса, а все осели и заснули на квантах и уравнениях Планка со Шредингером. Так и с эфиром получается. Начало было заложено ещё в конце 19 века, но все побежали у ту-степь, выбросив саму суть, излагавшуюся тогда, а большинство вообще и забыли о чём была тогда речь, а только и делают, что лозунгами пустыми махают. Так, сколько ни "изобретай", толку мало будет. Точнее, совсем не будет. Зато баррикадок и самопальных пьедестальчиков наваяли, ногу ступить негде.
  
0
Уважаемые релятивисты и антирелятивисты!

Предлагаю понять, наконец, что отвлеченное умничанье, вместо КОМПЛЕКСНОГО анализа имеющихся экспериментальных фактов завело нашу Науку в такие дебри «научных» споров, что будущие мальчишки и девчонки, усвоившие то, О ЧЕМ НА САМОМ ДЕЛЕ рассказывают нам накопленные нами факты, начнут откровенно насмехаться над учеными дядями, витающими в облаках «научных» фантазий.
Предлагаю перестать заниматься процессом выработки высоко научной болтологии (переумничали), УСВОИТЬ ПРОСТЕЙШИЕ ИСТИНЫ, о которых нам говорит накопленный нами экспериментальный материал, и вывести наконец нашу Науку из того тупика в который загнали её все эти наработанные фантазии.

Посетив тему «Приглашение к обсуждению Новой Парадигмы», вы сможете ознакомиться с тем, О ЧЕМ НА САМОМ ДЕЛЕ пытается рассказать нам накопленный нами экспериментальный материал. Приглашаю всех желающих ЭТО узнать, посетить мою тему. Для начала посмотрите сообщение 143, 144, а затем, если интерес не угас, ВНИМАТЕЛЬНО попробуйте ознакомиться с Новой Парадигмой.
С уважением
#12 | Каравашкин Сергей »» | 12.04.2017 11:03 | ответ на: #11 ( Валерий Иванович ) »»
  
0
Просмотрел. В принципе, кроме литературного раскрытия ньютоновского понятия пространства, как вместилища, и перепечатывания существующих недоразумений, таких, как постулаты Бора, планковские кванты, фотоны и проч., - извините, не увидел. Это уже давно и надёжно переварено. Вам бы переварить... А представления атома в комплексной форме, это не то, что мы не видим. Комплексные функции имеют не тот физический смысл, да и нейтрон "колется", а потому не может быть исходным кирпичиком мироздания ...
Что конкретно Вы желали сказать, без растопыренных пальцев?
  
0
Видите ли, уважаемый Каравашкин Сергей, если бы вы наряду с другой галиматьёй не написали вот это: «……да и нейтрон "колется", а потому не может быть исходным кирпичиком мироздания ...», надежда на то, что при повторном просмотре вы смогли бы что-то понять, всё же была бы.
А так, даже не пытайтесь.
Нейтрон (это так к сведению), да и то для наглядности (потом последовало уточнение) был введен как пространство образующий элемент, пространства под именем Атом. А вот Атом и ЭТО уже без изменений, является пространство образующим элементом следующего уровня пространство образующих элементов, которыми являются планеты, звёзды и прочие объекты, ОБЪЕДИНЕННЫЕ общим понятием ИНЕРЦИАЛЬНЫЕ СИСТЕМЫ.
А Пространство в который мы «высунули свой нос»:
Цитата из моей темы:

«Пространство, та Действительность, к изучению которой мы приступили (Вселенная в нашем понимании на данный момент), представляет собой совокупность Инерциальных Систем, каждая из которых, ТАК ЖЕ представляет собой относительно свободное Пространство. Поэтому, говоря о Пространстве, надо указывать о каком именно идет речь».

Но для вас понять это (как ЭТО видно из вашего сообщения) слишком сложно, а попытаться опровергнуть то, что есть, может только полный гений. Надеюсь, вы хотя бы из скромности, к таковым себя не причисляете.
Кроме того, уважаемый Каравашкин Сергей, своё сообщение я написал не только вам. Возможно, тему посетит и кто-то, кто еще не совсем потерял способность к здравому мышлению, а значит, способен будет усвоить и понятие Инерциальной системы и понятие пространство образующего элемента и другие понятия, открывающие необозримые дали новых Знаний о Вселенной, но обсуждать которые можно будет только после ликвидации гениальностей.
С уважением
  
0
Покажите мне хотя бы один атом, у которого ядром был бы один единственный нейтрон. Замечу, что водород - это не нейтрон...
Вы просто незнакомы с физикой элементарных частиц. При Ваших обвинениях других в собственной безграмотности и исходя из собственной безграмотности, это нормально. Иначе пальцы не топырили бы, излагая на уровне Мурзилок.
  
0
Уважаемый Каравашкин Сергей, я НИКОГО и НИ В ЧЕМ не обвиняю. Но, объём накопленной информации и умение ею пользоваться (к сожалению) это СОВЕРШЕННО разные вещи. И это факт.
Но в данном случае я ПРОСТО, читая ваши комментарии, констатирую факт, что ваше прочитал, означает: «пролетел как фанера над Парижем».
Где вы у меня нашли, что водород это нейтрон?
А может вы у меня нашли еще и то, что ядро атома состоит исключительно из протонов и нейтронов?
В общем больше на придуманные вами и приписываемые мне дурацкие выдумки отвечать больше не буду. Нет их в моей теме.
Без обид.
Либо БЕРИТЕ ТО, ЧТО НА САМОМ ДЕЛЕ есть в моей теме, и если НЕ желаете принять, АРГУМЕНТИРОВАННО ОПРОВЕРГАЙТЕ, либо давайте на этом нашу с вами дискуссию в виду её ПОЛНОЙ бесполезности, закончим.
Кстати лично с вами я вести дискуссию и не собирался, опираясь на свой богатый опыт общения с теми, кого хорошо характеризует приведенная мной в моей теме притча. Вы просто еще одно подтверждение её истинности.
Надеюсь больше вы меня своими не имеющими НИКАКОГО отношения к даваемому мной материалу и придумываемыми вами выдумками, не побеспокоите. По сути, пожалуйста.
С уважением
  
0
Аргументировано можно разговаривать с человеком, который знает тему. По Вашим высказываниям этого не видно, зато все у Вас в дураках ходят. Банальная манера альтов. И чем безграмотнее, тем активнее их обвинения других в своей безграмотности.
И не нужно здесь экивоки "без обид"... Устроили из нейтрона этакий самопальный "кирпичик мироздания", а то, что сам нейтрон вне ядра является нестабильной частицей хотя бы знаете?
Кто писал:
Нейтрон (это так к сведению), да и то для наглядности (потом последовало уточнение) был введен как пространство образующий элемент, пространства под именем Атом.
Вот Вас и попросили представить атом из одного нейтрона.
  
0
Уважаемый Каравашкин, из всего вами написанного, верно только ЭТО: «Аргументировано можно разговаривать с человеком, который знает тему».

Вы же пытаетесь критиковать тему (мою тему, вашу я не критиковал и не собираюсь) даже не удосужившись с ней ознакомиться, поэтому и выдаете на гора этот бред и приписываете его мне.

Вы пишите: «Вот Вас и попросили представить атом из одного нейтрона».

Если бы вы взяли на себя труд ОЗНАКОМИТЬСЯ с темой, вы бы не задавали этот глупейший вопрос ДВАЖДЫ.

В ТЕМЕ ЕСТЬ СООБЩЕНИЯ СПЕЦИАЛЬНО ПОСВЯЩЕННЫЕ ОБОСНОВАНИЮ НЕВОЗМОЖНОСТИ ОБРАЗОВАНИЯ Атома из одного нейтрона. Есть там и УТОЧНЕНИЯ к таблице Менделеева.
Всё уважаемый.
На этом наша с вами дискуссия ОКОНЧЕНА. Научитесь сначала ЧИТАТЬ И ПОНИМАТЬ ПРОЧИТАННОЕ.
  
0
Ну, знаете ли... Я буду перекапывать все страницы Вашей темы, чтобы узнать, что где-то Вы говорили противоположное. Копайтесь в своём сами. Вы сказали, я отреагировал. И сказали глупость. Ели бы говорили по делу, этого не болтали бы, да ещё с обвинениями в мой адрес.
Прощайте и надеюсь, что больше Ваших самовлюблённых глупых сентенций не услышу.
  
0
Каравашкин Сергей: «Ну, знаете ли... Я буду перекапывать все страницы Вашей темы, чтобы узнать, что где-то Вы говорили противоположное».

Уважаемый Каравашкин, вот ЭТО и есть самая полная характеристика «чашки»: «Я ВООБЩЕ НЕ ХОЧУ ЗНАТЬ, о чем твоя тема, но ты неправ потому, что это я прав».
К сожалению те о ком говорит приведенная мной в моей теме притча именно это и отражает.
Тема «Приглашение к обсуждению Новой Парадигмы» посвящена не освещению ОДНОЙ какой-то гениальности.
А ЛИКВИДАЦИИ ИХ ВСЕХ!
И ДЕЙСТВИТЕЛЬНО представляет собой НОВУЮ ПАРАДИГМУ
(надеюсь, вы знаете, что такое Парадигма).

В теме ИМЕЕТСЯ ЦЕЛЫЙ НАБОР ВНОВЬ ВВОДИМЫХ ПОНЯТИЙ, открывающих путь к выходу Науки из того тупика в который завели её гениальности.
И с человеком, не предпринявшим ПОПЫТКИ УСВОЕНИЯ и ПРИМЕНЕНИЯ (важно!) этих ВНОВЬ ВВОДИМЫХ ПОНЯТИЙ и заявляющим: ««Ну, знаете ли... Я буду перекапывать все страницы Вашей темы, чтобы узнать, что где-то Вы говорили противоположное», вести дискуссию ПРОСТО НЕ О ЧЕМ.
Но «двери всегда открыты».
С уважением
  
0
[QUOTE]Каравашкин Сергей: «Ну, знаете ли... Я буду перекапывать все страницы Вашей темы, чтобы узнать, что где-то Вы говорили противоположное».

Уважаемый Каравашкин, вот ЭТО и есть самая полная характеристика «чашки»: «Я ВООБЩЕ НЕ ХОЧУ ЗНАТЬ, о чем твоя тема, но ты неправ потому, что это я прав».[/QUOTE]

Вы даже не захотели примитивно понять, что я Вам написал, но сразу извратили. Вот такая и Ваша тема. Поза есть, всех в дураки записали без разбора, а на деле просто каша из несовместимых понятий. Введение же новых понятий само по себе не является и не являлось никогда достоинством в науке.
Не о чем разговаривать.
  
#21 | Анатолий »» | 14.04.2017 03:05
  
0
Да.... Стоит модератору удалиться, как начинается.
Сергей. Я вам советую не тратить свое время и нервы.
Это БЕСПОЛЕЗНО!
Со мной тоже сложно (но я хотя бы это прекрасно понимаю)
Но здесь - полное НЕПОНИМАНИЕ. Но тут же идут обвинения.
Мы тоже обвиняем. Но во всяком случае более конкретно и за более кокретные вещи. А тут размазюкивание всех и вся, но зато... - новая парадигма. Но никакой новой, да еще парадигмы НЕТ!
Есть свой взгляд, причем весьма запутанные и путается сам с собой.
Вот это есть причем в изобилии.
А все остальное? - ОБВИНЕНИЯ.

Я прошел уже этот пусть и потому просто не советую тратить время.

Банить я конечно не буду Валерия Ивановича И даже предупреждать не буду.
Впрочем если уж очень сильно достанет со своей новой парадигмой...
Ну вы меня поняли.
  
#22 | Анатолий »» | 14.04.2017 03:08 | ответ на: #11 ( Валерий Иванович ) »»
  
0
"Предлагаю перестать заниматься процессом выработки высоко научной болтологии (переумничали), УСВОИТЬ ПРОСТЕЙШИЕ ИСТИНЫ, о которых нам говорит накопленный нами экспериментальный материал, и вывести наконец нашу Науку из того тупика в который загнали её все эти наработанные фантазии."

Вот и я вам предлагаю тоже самое.
Не советуйте другим, посоветуйте все это себе!
Разговор здесь продолжаться не будет.
Не захламляйте тему.
  
#23 | Анатолий »» | 14.04.2017 03:32 | ответ на: #10 ( Каравашкин Сергей ) »»
  
0
Оставим пока на время (да, да, привычное нам с детства и когда часы тикают и показывают нам который час) - Время.

Рассмотрим следующее.
При скоростях близких к скоростям света.
Масса стремиться к бесконечности.
Время замедляется.
Расстояние (по вектору движения) сжимается и стремится к нулю.

Эйнштейн одну вещь явно не учитывал.
Потому что пусть даже ни один объект не может двигаться со скоростью света, зато сам Свет может двигаться со скоростью света!.
а следовательно все же есть объект в Космосе который движется со скоростью света.
Это очень интересно.
Формула Лоренца тогда показывает. что свет (частица эта или не частица, а частица и волна)

Имеет массу бесконечную. (ну или стремится к бесконечности)
Имеет время бесконечное (ну или стремится к бесконечности)
А расстояние (по вектору движения) сжимается и равно 0 (ну или стремится к нулю)

НО!
Прежде всего.
Масса фотона явно не бесконечная.
Однако!
Надо это запомнить.

И еще.

У Эйнштейна, что бы как то выпутаться из парадокса близнецов. каждая система (та которая движется со скоростью близкой к скорости света) и та которая неподвижна (ну относительно неподвижна) в совокупности - не учитывается А КТО ЖЕ ВСЕ ЖЕ ДВИЖЕТСЯ,
Потому что, якобы, это все равно.
СТОП!
Как все равно, когда масса увеличивается именно при увеличении скорости движения? и прочие параметры изменяются.
Ведь ТОЛЬКО при увеличении скорости!
Но другой объект (относительно неподвижный) не движется с такими скоростями (Задано заранее!)

И вообще, может ли двигаться объект, если ему не придали ТОЛЧОК - некую энергию Извне или даже внутри самого объекта.

Энергия и движет объект!
Ни один объект не будет двигаться да еще с такими скоростями, если ему не придать толчок - сделать усилие и передать энергию.

Разница между двумя системами (одна которая двигается а другая которая не двигается) - существенна. Она принципиальная разница!

а тут выдвигается гипотеза что якобы все равно (инвариантность)

_______________________
Итог:

Где вы уловите в моем понимании ошибку? И есть ошибка в моих умозаключениях?

PS,Я выбрался из цейтнота
#24 | Каравашкин Сергей »» | 14.04.2017 08:05 | ответ на: #23 ( Анатолий ) »»
  
0
Ошибка слишком стандартная для нынешнего времени.
Вы пытаетесь мыслить без релятивизма следствиями из релятивистской концепции и получаете в результате змеиный супчик.
Смотрите сами, Вы, например, пишете:
Масса фотона явно не бесконечная.
Но само понятие фотона, как и его масса неразделимы с релятивизмом и формулой Эйнштейна, а когда начинаешь фотонщикам задавать простейшие вопросы, типа, "где в фотоне прячется частота?", "как из дискретных фотонов формируется монохроматическое излучение?", "откуда в фотоне фаза, необходимая для интерференции и дифракции? и т.д., они сразу бегут к своему дуализму. Но волна не имеет ни массы, ни свойств корпускулы. Главное, волна требует субстанции, возмущением которой она является, а это уничтожает весь релятивизм на корню со всеми его формулами, выключая и эйнштеновскую формулу полной энергии, рост массы и проч. Не о чем говорить. Пытаясь же соединить ужа и ежа, получаем бухту колючей проволоки, блокирующей развитие.
Также и с остальным. Тут так: если релятивизм, то все парадоксы на месте. Если классическая физика, то парадоксы уходят, но там совсем иные описания процессов и другие понятия. Там нет роста массы, там нет фотонов, там нет трансформации времени и т.д. Вообще, там даже концепция излучения принципиально иная без боровских квантов и квантово-механического размазывания зарядов по орбите. Пытаясь же совместить, все садятся между двух стульев и это сейчас происходит повсеместно.
  
#25 | Анатолий »» | 14.04.2017 11:30 | ответ на: #24 ( Каравашкин Сергей ) »»
  
0
Видимо вы не поняли Сергей.
Вот именно я и не хочу сидеть между двумя стульями.
Но дело в том что Эйнштейновская теория сама себе противоречит. Это не парадоксы, это откровенные ляпы в мышлении.
То есть я подвергаю сомнению теорию основываясь на постулатах этой теории.
Формулировка: "Если так (утверждение) то значит так (другое утверждение)" но при этом начинается противоречие. Потому что не может быть и так и так. Эта теория - жонглирование и выводы - в угоду теории, а не в угоду науке. (я уж не говорю о истине, - она конечно весьма-весьма недостаточна и никогда не будет истиной в последней инстанции)
#26 | Каравашкин Сергей »» | 14.04.2017 13:46 | ответ на: #25 ( Анатолий ) »»
  
0
Я как раз понимаю, уважаемый Анатолий, что Вы, как и многие другие, не хотят сидеть на двух стульях. Слишком неудобно, но в то же время, невольно используются следствия из той самой абракадабры релятивизма, не задумываясь, что по этим атавизмам восстанавливается весь монстр. Вот в чём проблема и далеко не только Ваша. Это сейчас массовая ошибка, искоренить которую. очень трудно и одним решением или одним отрицанием релятивизма это не реализуется. Фактически нужно провести большую работу по созданию формализма вне релятивизма и без атавизмов релятивизма, а это затрагивает и квантово-механические представления, и теорию элементарных частиц, и электромагнетизм, и теорию теплоты... вплоть до химии... Представляете объёмище работы! И всё это в состоянии отсутствия финансирования, травлю, блокаду публикаций, забивание альтовскими измышлениями и проч. Любой, кто станет на этот путь, напрямую с этим столкнётся, как столкнулись мы. Такова спортивная жизнь.
Кстати, хотелось бы спросить о странном явлении. За время Вашего отсутствия дважды разрывалась связь с Декодером и предлагалась запомненная на Гугле версия, в которой последние две наши статьи отсутствовали. Потом всё восстанавливалось... Что за шуточки?
  
#27 | Анатолий »» | 14.04.2017 16:51 | ответ на: #26 ( Каравашкин Сергей ) »»
  
0
Начну с конца Сергей.
Дело в том что сервер бывает перегружен. И тогда клинит сайты, на этом сервере. Серверы сейчас дорогие и менять сервер администратору довольно дорого. НА этом сервере несколько сайтов администратора - Андрея.
Так что это проходящее явление. Клинит не открывается страница - подождать - откроеться. Это уже давно и хроническое, уже лет восемь такое случается

По теме.
Дело в том что вы правы, что ПОДХОД нужен тот который вы описали.
Я бы сказал что это более научный подход к проблеме и логически выверенный.
Но вы сами сказали почему сложно и что сложно. А уж мне тем более. У меня нет приборов, нет возможностей их приобрести, да и вообще я не физик.
Поэтому мой подход - видеть противоречия и искать правильные решения - для меня единственный.
Вполне возможно что многие по тем же причинам тоже выбирают такой подход и ищут ответы на вопросы, которые встают при исследовании теории Эйнштейна.
Да это не правильный путь, но к сожалению для многих единственный.

А вот то что:
"используются следствия из той самой абракадабры релятивизма, не задумываясь, что по этим атавизмам восстанавливается весь монстр"

С этим не совсем соглашусь.
Напротив, ПРОРИСОВЫВАЕТСЯ этот монстр более отчетливо. Ведь многие стороны в теории затушеваны, в тумане. А тут монстр становится более очерченным. он не восстанавливается, он больше ПРОЯВЛЯЕТСЯ и проявляется его сущность.

Нельзя в конце концов все время морочить людям голову и популярно вещать публике далекой от физики что один из близнецов будет стареть медленнее чем другой, но умалчивать, что то же самое может утверждать и тот кто летит со скоростью света.
а уж третий наблюдатель вообще непонятно где находиться и что с его точки зрения получается.

Надо раскрывать белеберду!
Надо прежде всего сказать что инерциальных систем НЕТ В ПРИРОДЕ, это лишь гипотетическая модель.
потому что что бы была такая система в во Вселенной надо найти такую область , где никакие силы не действуют на объект в округе.
А такого просто НЕТ, не существует!
И основываться на таких системах - это просто рисовать сказки.
Вот пусть сперва найдут такую систему во Вселенной, а потом утверждают и на основе этого делают выводы.
Ну и прочее в теории . - вагон и маленькая тележка всей это надуманной чепухи..

Но ваш подход более профессиональный, более научный, но... остальное вы сами написали - те сложности с какими столкнется исследователь , который исследует подобную теорию.
#28 | Каравашкин Сергей »» | 14.04.2017 18:47 | ответ на: #27 ( Анатолий ) »»
  
0
С сервером я понял, уважаемый Анатолий, спасибо за разъяснения. Перегруженность - это, конечно, минус, но у него тоже есть плюсы. Неактивные, неинтересные серверы не посещают. Им не грозит перегрузка, но популярность им тоже не грозит. Так что перегрузка - это и хорошо, имхо, как неизбежность популярности. Пусть будет лучше перегружен, чем не популярен.
Теперь по делу. Критика, безусловно, нужна и в этом нет ничего плохого, как и закономерно это. Нужно вскрывать монстра, тем самым понимая, куда не нужно ходить и чего нужно опасаться, чтобы не попасть в тот же капкан. С оборудованием тоже туго у всех. На таких дровах работаем, что мама не горюй. Но продираться нужно ища возможности.
Но я писал не об этом. Многие оппозиционеры не ради критики используют формулы релятивизма, фотоны, как сущность, пытаются описать чёрные дыры, замыкание пространства, увлекаются иными трансформациями времени и проч. Это уже не критика. Это называется "перенести клопика из старого диванчика в новый". Вот от этого монстр релятивизма разбухает, как тот Кощей, которому дали водицы испить из жалости. На определённом этапе он захватывает тех, кто проявил недальновидность и управляет ими, как рабами. Я много встречал на пути подобные случаи, которые просто растаскивают науку уводя из одних дебрей в другие, аналогичные под видом того, что это уже не релятивизм. Даже пытаются всунуть сферу Шварцшильда в эфирные концепции, применяют формулу полной энергии Эйнштейна и т.д. или, как тот же Ацюковский ради фотонного представления изображает свет в виде некоторой дорожки Кармана из парных вихрей, каждый из которых представляет фотоном. Это только растаскивает внимание исследователей, а молодых увлекает по ложным путям. Вот и приходится не только бороться с самим релятивизмом, но и с его инкарнациями. Вот о чём я.
Закончил доработку следующей статьи блога. Если всё нормально, вечером вывешу.
  
#29 | Анатолий »» | 14.04.2017 19:18 | ответ на: #28 ( Каравашкин Сергей ) »»
  
0
"Это называется "перенести клопика из старого диванчика в новый"."

Да еще как стараются!
Монстра надо подкармливать свежим мясцом.
На песочные замки свои песочные конструкции лепят только так.
Сталкивался и неоднократно.

пожалуй я даже понимаю почему это происходит.
Конструкция интересная. Она необычная, красиво-запутанная. ну такая сказка. Она завораживает, к тому же... "узаконена" (сказать что общепринята - это еще большой вопрос) но УЗАКОНЕНА!
А ведь надо и свое что то, что бы все же прозвучать и высветиться фарами Олимпа. А тут очень выгодно, потому что проверить все это практически невозможно и можно фантазировать как угодно.
Надстройки монстра рождаются как грибы.
Но какое это отношение имеет к науке -я не знаю.
Это уже похоже на мифотворчество.

С новой статьей - конечно!
Я же сказал каждая тема ИНТЕРЕСНА. Не во всех, к сожалению могу участвовать, ну уж уровень простите... увы не позволяет...
#30 | Каравашкин Сергей »» | 14.04.2017 23:24 | ответ на: #29 ( Анатолий ) »»
  
0
Фух... Поставил... Пошёл спать. Извините, что сразу не ответил. Думаю, прорвёмся. новые знания, как linux - долго запрягаются, быстро едут. Мы с Вами как раз и запрягаем.
Добавлять комментарии могут только
зарегистрированные пользователи!
 
Имя или номер: Пароль:
Регистрация » Забыли пароль?
бог 114 вера 3 дух 11 любовь 114 троица 105 ум 36 богородица 3 человек 8 отец 5 сущность 3 время 7 истина 7 свобода 3 интернет 4 дух святой 4 алексей семихатов 9 гравитация 6 хаос 3 энтропия 4 искусственный интеллект 9 борис бояршинов 4 нейтрино 3 криптовалюты 3 комплексное запаздывание 5 термояд 3 эффект доплера 6 физика 4 фильм 3 квантовая механика 5 истинные и мнимые лучи 3 фотон 3 чёрные дыры 4 сто 13 алексей савватеев 7 владимир сурдин 3 новый ролик 8 черная дыра 3 скорость света 3 видео 9 пространство 6 космология 4 материя 3 гравитационные волны 7 эфир 6 горизонт событий 4 ото 5 будущее 3 космос 5 россия 4 сознание 3 вселенная 3 квантовая физика 4 электромагнетизм 3 лиго 4 луна 3 разум 6 рассудок 3 теория относительности 4 ложность релятивизма 4 дети 3 энергия 3 благодать 4 математика 4 спасение 3 крест 3 дифракция 3 химия 5 воля 4 золотое сечение 3 марс 3 классическая физика 4 майкельсон 3 преобразования лоренца 4 христос 4 логика 3 эфирный ветер 4 святой дух 3 сын 4 вода 3 иисус христос 12 путь 3 гипотеза 3 наука 4 gps 3 черные дыры 3 большой адронный коллайдер 4 решение 4 мир 3 история 3 эксперименты 3 лечение рака в израиле 3 методы лечения рака в израиле 3 биография 4 история открытия 3 темная энергия 3 погрешность 3 метрология 3 измерения 5
 
© decoder.ru 2003 - 2025, создание портала - Vinchi Group & MySites
ЧИСТЫЙ ИНТЕРНЕТ - logoSlovo.RU