Схема интерферометра с линейной зависимостью v/c

Диаграмма изменения максимальной разности фаз лучей δφ(l, D) (в долях периода) при v = 2 км/с ; h1 = 0.06 м, h2 = 0, 7 м


С.Б. Каравашкин
e-mail: sbkaravashkin@gmail.com
Труды СЕЛФ
блог «Classical Science»
Оригинал

В предыдущей работе [1] было проведено полное моделирование стандартной схемы двуплечевого интерферометра на основе методики, предполагающей расчёт изменения разности фаз лучей, приходящих в конкретную (центральною) точку экрана, в зависимости от ориентации прибора по отношению к эфирному ветру. Было показано, что при квадратичной зависимости (v/c) и при оцениваемом Миллером значении скорости эфирного ветра, вблизи Земли в 2–8 км/с, значения смещения полос вполне соответствуют результатам эксперимента и слишком малы для надёжной регистрации явления и, тем более, для оценки величины этой скорости. Линейную зависимость пытался реализовать ряд исследователей, но точность, которая может быть достигнута интерференционными методами, не может быть обеспечена другими методами, основанными, как правило, на одностороннем прохождении луча.
В данной работе сделана попытка моделирования схемы с линейной зависимостью, но с сохранением преимуществ интерференционного метода, основанного на разности хода лучей, приходящих на экран.
Схема представлена на рис. 1.
Рис. 1. Схема однолучевого дифракционного интерферометра для поиска эфирного ветра: 1 – плоскость источника света; 2 – наклонное отражающее зеркало; 3 – дифрагирующая проволочка d = 0.7 мм

Несложно увидеть, что в основу данного метода положена дифракция пучка света, сфокусированного на тонкой проволочке. Особенностью схемы является то, что оба расчётных луча, приходящих к боковым сторонам проволочки, наклонены друг к другу. При этом оба проходят как вдоль, так и поперёк направления эфирного ветра, но под разными углами, что и должно вызывать изменение разности фаз лучей при изменении ориентации прибора относительно эфирного ветра.

Определение угла γ
Поскольку для истинного луча [2] (на базе чего производился расчёт в обеих работах) угол падения остаётся равным углу отражения, траекторию оси светового потока можно представить штрихпунктирными линиями, как на рис. 2, а распространение луча без зеркала – пунктирными линиями.

Рис. 2. Схема для определения углов γ и α

Исходя из этого построения, mn = m'n = l/cos α, A1A2 = A'1A2 , B1B2 = B'1B2 , A1B1 = A'1B'1 = D, A3B3 = d. Учитывая это, получим
(1)
Определение угла α
(2)
Определение угла η2 . Соответствующее построение представлено на рис. 3.

Рис. 3. Схема для определения угла η2

Из построения
(3)
Определение угла η1 . Соответствующее построение представлено на рис. 4.

Рис. 4. Схема для нахождения угла η1
.
Из построения
(4)
Определение оптического пути первого (синего) луча.
Соответствующая схема представлена на рис. 5.

Рис. 5. Схема для нахождения оптического пути первого (синего) луча

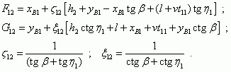
Интервал A1B1.
Точка A1 имеет координаты A1(d/2; h1) Уравнение луча имеет вид:
(5)
Уравнение для зеркала с учётом его смещения имеет вид
(6)
Совмещая (5) и (6), получим положение точки отражения В1 от движущегося зеркала.
(7)
и
(8)
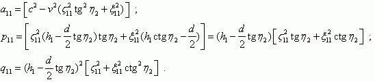
Уравнение для нахождения t11 примет вид
(9)
где
(9) приводится к квадратному уравнению
(10)
где
Из (10) находим t11:
(11)
В (11) перед корнем взят знак плюс из-за неотрицательности времени.
Определение B1D1.
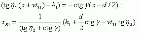
Для нахождения второго интервала синего луча нужно определить его наклон в заданной системе координат. Схема для определения приведена на рис. 6.

Рис. 6. Схема для определения угла β

Рассмотрим Δonr. В нём ےorn = π/2 – γ ,
ےune = ےonr = π – (π/2 – γ) – η2 = π/2 + γ – η2.
Отсюда с учётом законов отражения от плоского зеркала
ےm1nu = π – 2 ےune = 2(η2 – γ).
Также ےwnu = π/2 – γ. Следовательно
(12)
С учётом (12), система уравнений для нахождения времени t12 на отрезке B1D1 (рис. 5) имеет вид
(13)
Оттуда для точки D:
(14)
Уравнение для нахождения t12 примет вид
(15)
где
После преобразований уравнение (15) примет вид
(16)
где
Из (16) находим t12:
(17)
Так же, как и на первом интервале, оставляем знак плюс из-за неотрицательности времени.
Суммарное время прохождения истинным лучом всего первого (синего) пути определяется стандартно
(18)
Расчёт времени прохождения светом второго (зелёного) интервала легко произвести, заменив в выводе γ на (–γ) При этом получим для интервала между экраном и зеркалом:
(19)
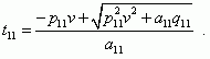
Выражение (9) для синего луча, в приложении к зелёному лучу, приводит к квадратному уравнению
(20)
где
Из (20) находим t21:
(21)
Аналогично находим и t22 .
Суммарное время прохождения истинным лучом всего второго (зелёного) пути определяется стандартно
(22)
Разность фаз δφ (в долях периода) между двумя лучами определится выражением:
(23)
Полученная зависимость δφ(v) представлена на рис. 7.
Рис. 7. График зависимости δφ(v) (в долях периода) при l = 0,3 м ; h1 = 0,06 м ; h2 = 0,7 м ; f = 4•1014 Гц ; d = 0,0007 м ; D = 0,02 м.

Зависимость δφ(l, D) представлена на рис. 8

Рис. 8. Диаграмма изменения максимальной разности фаз лучей δφ(l, D) (в долях периода) при v = 2 км/с ; h1 = 0.06 м, h2 = 0, 7 м

Как видно из графика, существенные разности фаз проявляются при малых значениях l и чем меньше D (т.е. меньше угол схождения лучей γ, что при дифракции не столь сильно влияет, как при интерференции), тем меньшие значения разности фаз можно получить. В рассматриваемой модели D = 10 мм. Общий график зависимости δφ(l, D) для этого значения диаметра луча D представлен на рис. 9

Рис. 9. График зависимости δφ(l) (в долях периода) при D = 10 мм; при v = 2 км/с ; h1 = 0.06 м, h2 = 0, 7 м

Как видно из рис. 9, в области малых l наблюдается инверсия с резким возрастанием δφ. Однако учитывая то, что реальная схема будет не столь идеальна, как построение, а также малый интервал, в котором наблюдается этот значительный пик и сложность отражения от зеркала при столь больших углах α, в эксперименте желательно пользоваться частью кривой до точки инверсии. График это части кривой представлен на рис. 10.

Рис. 10. Положительная ветвь зависимости δφ(l) при D = 10 мм; при v = 2 км/с ; h1 = 0.06 м, h2 = 0, 7 м

Положительная ветвь на рис. 10 показывает, что при взятых параметрах наиболее оптимальной будет установка излучателя в пределах 0,11

Комментарии

Комментарии не найдены ...
Добавлять комментарии могут только
зарегистрированные пользователи!
 
Имя или номер: Пароль:
Регистрация » Забыли пароль?
бог 114 вера 3 дух 11 любовь 114 троица 105 ум 36 богородица 3 человек 8 отец 5 сущность 3 время 7 истина 7 свобода 3 интернет 4 дух святой 4 алексей семихатов 9 гравитация 6 хаос 3 энтропия 4 искусственный интеллект 9 борис бояршинов 4 нейтрино 3 криптовалюты 3 комплексное запаздывание 5 термояд 3 эффект доплера 6 физика 4 фильм 3 квантовая механика 5 истинные и мнимые лучи 3 фотон 3 чёрные дыры 4 сто 13 алексей савватеев 7 владимир сурдин 3 новый ролик 8 черная дыра 3 скорость света 3 видео 9 пространство 6 космология 4 материя 3 гравитационные волны 7 эфир 6 горизонт событий 4 ото 5 будущее 3 космос 5 россия 4 сознание 3 вселенная 3 квантовая физика 4 электромагнетизм 3 лиго 4 луна 3 разум 6 рассудок 3 теория относительности 4 ложность релятивизма 4 дети 3 энергия 3 благодать 4 математика 4 спасение 3 крест 3 дифракция 3 химия 5 воля 4 золотое сечение 3 марс 3 классическая физика 4 майкельсон 3 преобразования лоренца 4 христос 4 логика 3 эфирный ветер 4 святой дух 3 сын 4 вода 3 иисус христос 12 путь 3 гипотеза 3 наука 4 gps 3 черные дыры 3 большой адронный коллайдер 4 решение 4 мир 3 история 3 эксперименты 3 лечение рака в израиле 3 методы лечения рака в израиле 3 биография 4 история открытия 3 темная энергия 3 погрешность 3 метрология 3 измерения 5
 
© decoder.ru 2003 - 2025, создание портала - Vinchi Group & MySites
ЧИСТЫЙ ИНТЕРНЕТ - logoSlovo.RU