Поле синхронно движущихся источников ч. 4

Гравитационное поле внутри массивного кольца
С.Б. Каравашкин
e-mail: sbkaravashkin@gmail.com
Труды СЕЛФ
блог «Classical Science»
Оригинал

На сегодняшний день задача о распределении напряжённости гравитационного поля внутри астрономических тел, описанная для однородного тела ещё Ньютоном в «Математических началах натуральной философии», считается столь простой, что входит в задачники по физике для школы {1}. Согласно этому решению, напряжённость поля определяется только массами, находящимися на радиусе, меньшем исследуемой точки, расположенной внутри тела: «сила притяжения, действующая на тело, перемещающееся внутри Земли, будет равна силе притяжения, создаваемой шаром радиуса, равного расстоянию тела до центра Земли. Величина этой силы может быть определена точно так же, как и величина силы, действующей на тела, находящиеся на поверхности Земли» {1, с. 184}. Следовательно, во всех точках внутри пустотелой сферы напряжённость гравитационного поля в статическом случае равна нулю.
Но это, повторюсь, в статическом случае. Динамика существенно изменяет представления. Волновые свойства всех без исключения полей, как и конечность скорости их распространения в пространстве, однозначно свидетельствуют о том, что основным законом природы является близкодействие. При этом можно бесконечно отрицать эфир как некую субстанцию, по отношению к которой определяется скорость распространения этих возмущений, но логика аргументов однозначно свидетельствует о его наличии, как и о его влиянии на процесс распространения возмущений и волн.
Действительно, если возмущение распространяется в пространстве с некоторой конечной скоростью, то излучение, испущенное источником в некоторый момент времени t1, достигнет приёмника с определённым запаздыванием Δt независимо от той или иной существующей на сегодня научной концепции, которой мы хотим описывать данный процесс. За это время приёмник автоматически сместится из своего исходного положения, в котором находился в момент t1. Таким образом, приёмник получит информацию о дошедшем до него возбуждении не из положения источника в момент приёма сигнала, а из положения, в котором находился источник в момент t1. Если движение источника равномерное и сигнал гармонический, то различие в приёме сигнала маскируется этой равномерностью, но если движение неравномерное и сигнал негармонический, то все формулы для статического случая, гармонического сигнала и равномерного движения теряют свою работоспособность. Характер принимаемого сигнала впрямую начинает зависеть не от существующей закономерности эффекта Доплера, а от расстояния, пройденного приемником и его скорости за время прохождения сигнала от источника к приёмнику, выделяя свойства субстанции, в которой находится этот сигнал, излучившись из излучателя, но ещё не принятый приёмником.
Чтобы это показать, рассмотрим достаточно простую схему. Пусть в положительном направлении оси х движется спарка излучатель-приёмник, как показано на рис. 1.

Рис. 1. Схема жёсткой спарки излучателя (1) и приёмника (2), движущихся неравномерно со скоростью v(t) в направлении положительных значений оси х ИСО, принятой за неподвижную

Рассмотрение будем вести в классическом формализме, предполагая, что для не слишком больших скоростей и справедливости в релятивистской концепции законов классической физики для неподвижной ИСО, эти результаты должны быть применимы, как минимум, как предельный случай малых скоростей к релятивизму. Хотя, как будет видно далее, подобная применимость принципиально невозможна, и не из-за недостаточности классического формализма, а из-за некорректности релятивистской концепции.
Предположим сначала, что движение рассматриваемой спарки равномерное. При этом мы можем напрямую воспользоваться стандартными формулами для вычисления продольного эффекта Доплера.
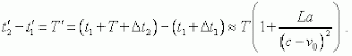
Пусть в некоторые два момента времени t1 и (t1 + T) источник последовательно излучает короткие импульсы. Поскольку движение системы равномерное, то задержка времени, с которой эти импульсы будут приняты приёмником, будут одинаковы и выражения для задержки приёма первого импульса Δ t1 и второго импульса Δ t2 имеют вид
(1)
Или
(2)
Таким образом, периоды между испускаемыми (T) и принимаемыми импульсами (T΄) связаны простым соотношением
(3)
Иными словами, несмотря на движение спарки как целого, периоды испускаемых и принимаемых импульсов остаются равными. Налицо маскирующий эффект, обусловленный совместным движением источника и приёмника. И это тоже результат эффекта Доплера из-за маскирующего эффекта которого, в том числе, релятивисты ввели свой постулат эквивалентности ИСО.
Теперь предположим, что спарка движется в том же направлении, но с постоянным ускорением а. Пусть, для простоты, закон изменения скорости всей системы со временем имеет стандартный вид равноускоренного движения
(4)
Время задержки между излучением и приёмом сигнала для двух последовательных импульсов примет вид
(5)
Из (5) сразу видно, что Δ t1 и Δ t2 равны не будут, как и будут определяться решением квадратного уравнения. Эти решения имеют вид:
(6)
Из первого решения в (6) сразу следует, что при ускоренном движении и положительном ускорении, импульс достигнет приёмника не при v0 = c, как это следует из законов Доплера для равномерного движения, а при меньшем значении (хотя свет будет распространяться с той же характерной для него скоростью), - чего не предсказывают релятивисты, поскольку в сопутствующей спарке СО луч должен достичь приёмника. Согласно же (6), условием является значение скорости, при которой подкоренное выражение становится мнимым, что приводит к неравенству:
(7)
т.е. граничное значение критической скорости зависит от ускорения и расстояния между источником и приёмником. Поэтому даже при сравнительно небольшом ускорении, но значительной длине базы L сигнал может просто не достичь приёмника при скорости системы, меньшей скорости света с. Это предсказывает классическая физика, но никогда не сможет предсказать релятивистская концепция, хотя рассмотрение, повторюсь, ведётся в инерциальной системе отсчёта.
Идя далее, посмотрим, как изменятся выражения (6) при малости вычитаемого под корнем. Приближённое выражение имеет вид
(8)
Иными словами, и при малых ускорениях, и при малых скоростях запаздывание во времени между последовательно излучёнными сигналами тоже оказывается не равным.
(9)
Как мы видим, при ускоренном движении спарки принципиально изменяется закон Доплера. В этом случае периоды излучения и приёма оказываются неравными даже при синхронном движении источника и приемника, а различие начинает зависеть от параметров ускоряемой спарки, хотя рассмотрение производилось строго в одной ИСО. С этим теряет смысл обобщённый постулат эквивалентности релятивизма, лежащий в основе общей теории относительности. Вместе с этим теряет смысл и сама эта теория, построенная на усечённых фантазиях и афизичных гипотезах.
В нашем же рассмотрении важным является то, что различие периодов появляется зависимость от начальной скорости спарки v0. Встаёт вопрос: по отношению к какой системе отсчёта измерять данную скорость? Ведь в разных ИСО, принятых нами за неподвижную, эта скорость будет различной.
Ответ на данный вопрос единственный. То, что мы принимаем за неподвижную ИСО, автоматически связывается со светонесущей субстанцией, т.е. с субстанцией, по отношению к которой и сама скорость распространения полей постоянна. И даже если, предположим, Солнечная система движется в Галактике вместе с Землёй, а значит, предположительно, обладает определённой скоростью по отношению к светонесущей субстанции, то принятие системы отсчёта за неподвижную обусловлено не тем, что она полностью неподвижна, а тем, что при скоростях и ускорениях, которыми мы оперируем, погрешности оказываются ниже разрешающей способности наших приборов, как и треугольник в геометрии является идеальным только с точностью до наших погрешностей, которые мы воспринимаем как неизбежность неидеальности нашего инструмента. Об этом говорят и законы волновой физики, которым строго в полном объёме соответствуют динамические процессы в поле. Тут, как было сказано, не имеет значения, как называть данную субстанцию. Главное, что она должна обладать всеми свойствами эфира как светонесущей субстанции. И это решает вопрос в пользу классической физики.
Этот вывод последует, и если подойти углублённо к вопросу с точки зрения конкурирующих концепций. Из трёх существующих на сегодня концепций, баллистическая концепция Ритца неспособна описать вышеприведенный процесс в ускоренной спарке. Согласно БТР, скорость распространения возмущения зависит от скорости источника; следовательно, при ускорении жёсткой спарки источник-приёмник и при направлении распространения возмущения по ходу ускорения, приёмник будет фиксировать инверсную картину событий, поскольку более поздние волны будут распространяться с большей скоростью, а значит, будут приходить прежде более ранних волн, что само по себе абсурдно.
Релятивистская концепция тоже не выдерживает критики. Постулировав сохранение четырёхмерного интервала и связанного с ним преобразования координат по Лоренцу, релятивисты, в действительности, не установили инвариантность скорости света во всех ИСО, что было показано в {2}. Преобразования Лоренца просто преобразуют физическое время одной ИСО, т.е. систему синхронно идущих в области исследования часов, в нефизическое время. При этом получается, что с точки зрения сопутствующей ИСО одна часть единого объекта находится в прошлом, другая в будущем и только малая часть в настоящем. Некорректные манипуляции с математикой создали релятивистам иллюзию неодновременности событий, в то время как в этом только проявлялась ложность самих преобразований, наклоняющих «плоскость» времени. Попытки дополнительным преобразованием ввести в сопутствующей ИСО физическое время разрушают релятивистский постулат постоянства скорости света, делая всю релятивистскую концепцию ложной в корне.
И только концепция классической физики, основанная на существовании эфира как светонесущей субстанции, не имеет вышеприведенных противоречий. Преобразования Галилея не нарушают физическое время при преобразованиях, как не нарушается последовательность распространения фаз возмущения ни при равномерном, ни при неравномерном движениях источника. Ложные же концепции всё равно приходят к существованию некоторой материальной субстанции, ответственной за поля и их распространение в пространстве, но стыдливо играют названиями типа, «тёмная материя», «физический вакуум», «электронно-позитронный бульон Дирака» и проч., повторяя стиль самого Эйнштейна: «Эфир общей теории относительности есть среда, сама по себе лишённая в с е х механических и кинематических свойств, но в то же время определяющая механические (и электромагнитные) процессы… Эфир общей теории относительности принципиально отличается от эфира Лоренца тем, что его состояние в любом месте динамически определяется с помощью дифференциальных уравнений и состоянием в соседних точках, в то время как состояние эфира Лоренца в случае отсутствия электромагнитных полей (!?) ни от чего, кроме самого эфира, не зависит и всюду одно и то же. Мысленно можно превратить эфир общей теории относительности в эфир Лоренца, если заменить все описывающие его функции пространственных координат постоянными и не обращать внимания на причины, обуславливающие его состояние» {3, с. 687-688}. В такой манере можно пренебречь любой субстанцией, забывая, что те самые переменные в дифференциальных уравнениях отражают конкретные материальные процессы в физических системах, а не между абстрактными символами самими по себе. Становясь на путь игнорирования самой физики процессов и связь математического формализма с вполне реальными проявлениями в природе, можно, например, считать, что звуковые волны распространяются исключительно благодаря дифференциальным уравнениям, описывающим их, а газ можно выбросить из физического процесса как некоторую постоянную, зависящую саму от себя нелепость природы, поскольку в отсутствие возбуждения он зависит только сам от себя.
Если бы это убеждение было свойственно только Эйнштейну, то большой беды не было бы. К сожалению, оно присуще и сегодня, спустя сто лет, всем релятивистам, оторвавшим математические формулы от физических процессов, их описывающих, манипулируя, как заблагорассудится, математикой ради наукообразных «объяснений» типа одновременной неодновременности, трансформации времени, горизонта событий, червоточин, дуализма волна-частица и проч. Сейчас дошли до того, что Чёрные дыры могут испускать джеты, хотя по определению даже свет по ОТО не может преодолеть гравитационное поле Чёрной дыры. Но оказывается, что «Черные дыры известны тем, что они жадные пожиратели, но они едят не все, что падает на них. Небольшая часть материала снимается в мощных струях горячего газа, называемых плазмой, которая может нанести ущерб их окружению. Попутно эта плазма каким-то образом заряжается достаточно сильно, чтобы сильно излучать свет, образуя две яркие колонны вдоль оси вращения черной дыры. Ученые давно обсуждают, где и как это происходит в джете» {4}. В действительности все эти фантазии были «изобретены» с единственной целью оправдать появление света при слиянии Чёрных дыр, гравитационную волну от которых якобы фиксировали в проекте ЛИГО, совмещая это с далёкой вспышкой, которой по определению Чёрных дыр принципиально быть не могло в той интерпретации, которую выдумали авторы проекта для оправдания затраченных средств.
Если же отстроиться от нагромождений, то оказывается, что и преобразования Лоренца ложны, как не мог сам Лоренц быть последовательным сторонником эфира, придерживаясь справедливости выведенных им преобразований, неразрывно связанных с релятивистским инвариантом интервала, отрицающим светонесущую субстанцию. Но даже если, пренебрегая многочисленными и неустранимыми противоречиями релятивизма и БТР, предполагать сокращение пространства-времени или сложение скорости распространения возмущения со скоростью источника, – это не устранит запаздывание, обусловленное движением источника, формирующее описанное мной в предыдущих частях работы комплексное запаздывание. В обоих случаях просто усложнятся расчёты, требующие дополнительного учёта сокращения или сложения скоростей распространения поля и источника. Расчёты, которые своими выводами будут уничтожать как релятивизм, так и БТР.
Приёмник всегда будет фиксировать более ранее поле, а следовательно, деформации самого поля неизбежны как для волновых процессов, так и для полей движущихся источников поля. Этому посвящено множество работ, в том числе и мы неоднократно обращались к этой теме. В частности при анализе некорректности эйнштейновской формулы полной энергии в {5}, мы на взаимодействии движущихся зарядов показали, что изменение силы взаимодействия обусловлено не изменением массы, как постулируется в релятивизме, а деформацией поля, не сводящейся к сокращению пространства-времени.
Стандартная форма этой деформации, ещё раз приведена на рис. 2.

Рис. 2. «Структура электрического поля неподвижного (а) и подвижного (б) точечных зарядов. Окружности — эквипотенциальные поверхности» {6}.

Смещение заряда из своего центра при движении, обусловленное фактором запаздывания, не может быть сведено к трансформации длин в релятивизме, так как осенесимметрично, в то время как трансформация длины в релятивизме обязана обладать симметрией по и против направления движения системы. Иначе она будет обнаружима в сопутствующей ИСО. Ведь именно поэтому характер деформации поля у релятивистов имеет другой, симметричный вид, показанный на рис. 3.

Рис. 3. «На рис.За изображены линии поля и постоянного потенциала (φ = const) электрического поля точечного заряда, когда он неподвижен. На рис. 36 тот же заряд, движущийся с не слишком большой скоростью, на рис.3в - со скоростью, очень близкой скорости света. Если в первом случае поле сферически симметрично, то в последнем оно практически сжимается в «лепешку», перпендикулярную направлению движения. Эту деформацию электромагнитного поля можно обнаружить на опыте. Релятивистская частица будет взаимодействовать с неподвижным пробным зарядом q, помещенным на ее пути, лишь в течение очень краткого времени, когда «лепешка» силовых линий проходит через заряд q» {7}.

На рис. 3 сразу видно, что представленная эпюра деформации ложна, потому что не отражает принцип близкодействия, требующий излучения каждой эквипотенциальной поверхности в своей точке траектории, поскольку после смещения из точки поле не может сразу установиться во всём пространстве, а значит, возмущение будет распространяться с той же скоростью света, что и волновой процесс. За это время сам источник сместится и из новых точек траектории будут устанавливаться следующие эквипотенциальные линии. Иного принцип близкодействия не предполагает, как и без учёта смещения нет близкодействия.
Если уж релятивисты хотели сокращать пространство-время, то диаграмма, удовлетворяющая этому принципу, должна была бы выглядеть, как показано на рис. 4.

Рис. 4. Структура электрического поля неподвижного (а) и подвижного (б) точечных зарядов в предположении релятивистской трансформации пространства-времени

Однако, при несимметричной трансформации становятся ложными оба постулата релятивизма. Асимметрия поля не может быть трансформирована преобразованиями Лоренца в симметричное поле, а скорость света по и против движения источника также будет неодинакова.
Таким образом, с какой стороны ни возьми, проявляется ложность релятивистских построений, зациклившихся на внешности абстрактного четырёхмерного инварианта.
Деформация же поля, описываемая классической физикой, нам интересна с той точки зрения, что даёт ключ к моделированию поля движущегося кольца, исследуемого в этой работе.
На рис. 5 представлена стандартная классическая схема формирования деформации поля движущегося источника.

Рис. 5. Стандартная классическая схема деформации поля движущегося источника

Из построения мы видим, что если источник О и приёмник Р связаны жёсткой связью, двигаясь синхронно, то поле в точке нахождения приёмника определяется не длиной этой связи L, а расстоянием L΄ , определяемым задержкой прихода возмущения поля в точку нахождения приёмника. С этим изменяется амплитуда и направление вектора напряжённости поля в точке Р. При этом важным является то, что независимо от природы поля источника, близкодействие определяет общую схему запаздывания прихода поля в точку нахождения приёмника даже при равномерном движении спарки.
Исходя из этого, при рассмотрении задачи о поле внутри движущейся сферы мы можем рассматривать саму сферу как организованное множество элементарных масс, создающих результирующее поле в исследуемой точке, с учётом комплексного запаздывания возмущения, обусловленного синхронным движением масс сферы относительно светонесущей субстанции. Также мы можем ограничиться рассмотрением массивного кольца, что не влияет на картину распределения поля, рассматриваемую в плоскости. Всё это значительно упростит расчёты без существенного влияния на результат исследования.
В качестве расчетной схемы мы возьмём построение, представленное на рис. 6, и методику расчёта комплексного запаздывания, использованную в предыдущих исследованиях динамического гравитационного поля {8}.

Рис. 6. Общее построение для расчёта напряжённости поля внутри массивного кольца (a) и выделенная область исследуемой точки Р (b)

На этом построении, поле в точке Р определяется от элемента кольца, излучённого в более ранний момент времени Δt, необходимого для достижения изменения поля, обусловленного движением кольца от элемента в заданную точку Р.
Из построения
(10)
(11)
(12)
(13)
Трансцендентное уравнение (13) является определяющим в данном классе задач с комплексным запаздыванием. Решая его численными методами, далее можно определить все напряжённости поля с учётом конечности распространения возмущения в движущейся системе источников.
Для нахождения поля напряжённостей гравитационного поля разобьём единую массу кольца M на малые сегменты Δ M:
(14)
где n – выбранное число элементарных масс-сегментов. Для каждого из них напряженность поля в точке Р равна:
(15)
На основе найденного, суммарное поле в точке Р определяется выражением
(16)
Угол наклона η суммарного поля GP в точке P равен
(17)
Наконец, последняя расчётная операция – логарифмирование амплитуды напряжённости поля для выделения малых векторов напряжённости этого поля:
(18)
При построении диаграммы не будем привязываться к конкретному астрономическому телу, ставя своей целью выявление наиболее характерных особенностей общей картины поля внутри кольца. В связи с этим в качестве задающих параметров приняты: R = 1,0•E+9 м; c = 3•E+8 м/с; v =3•E+7 м/с; M = 2,0•E+30 кг; n = 1,0•E+3 .
Диаграмма, соответствующая указанным параметрам и построенная на вышеприведенном математическом аппарате, представлена на рис. 7.

Рис. 7. Диаграмма распределения напряжённости гравитационного поля внутри движущегося массивного кольца

Диаграмма показывает, что вследствие движения поле внутри не обращается в ноль, как в статическом случае. Оно практически радиально, направлено наружу и возрастает от нуля в центре до максимума у внутренней поверхности кольца. Область нулевого поля несколько смещена против направления движения кольца. Это демонстрирует и график изменения напряжённости поля на оси кольца вдоль направления движения, представленный на рис. 8.

Рис. 8. График зависимости напряжённости гравитационного поля вдоль направления движения кольца; красной меткой обозначена точка нулевой напряжённости поля

Из графика видно, что гравитационное поле внутри массивного кольца быстро убывающее (а не нулевое, как в статическом случае) и несимметричное относительно направления движения. По фронту максимальная напряжённость поля почти в два раза меньше, чем по тылу. Также и обращение поля в ноль происходит на расстоянии 1•109 м от центра против направления движения кольца.
Если кольцо будет вращаться с осью, не совпадающей с направлением движения кольца, то область нулевого поля будет совершать круговые движения относительно центра кольца, а гравитационное поле у внутренних стенок будет изменяться, повторяя характер вращения самого кольца. Это важный вывод, который проявит себя при дальнейшем развитии на модель сплошного массивного тела, свидетельствующий о том, что центр массивного тела будет также смещён и будет совершать движение вокруг геометрического центра.
В заключение следует немного сказать о принятом в моделировании значении скорости распространения гравитационных волн, равном скорости света. Читатели по предыдущим исследованиям склонны считать, что полученные результаты справедливы исключительно для скорости, совпадающей со скоростью ЭМ волн и теряют справедливость при иных скоростях. Но достаточно посмотреть на формулы математического моделирования, приведенные как в тех статьях, так и в этой статье выше, чтобы увидеть, что сам вид формул от величины скорости с никоей мерой не зависит. Формулы остаются теми же. Меняется масштаб, но не само распределение напряжённости поля. С другой стороны, величина скорости распространения гравитационного поля пока неизвестна и нет веских оснований считать её больше или меньше скорости света, тем более, что до моих исследований и сам характер гравитационных волн был неизвестен. Мнение НАСА в проекте ЛИГО не может быть здесь аргументом, поскольку основано, с одной стороны, на некорректном использовании наших же исследований спиральной волны, а с другой стороны, на некорректной релятивистской Общей теории гравитации, с помощью которой подобные волны не могут быть принципиально смоделированы, как и афизично существование горизонта событий и Чёрных дыр {9}, {10}.
С другой стороны, если исходить из концепции светонесущей субстанции в классической физике, то распространение любого вида возмущения не может происходить с различными скоростями. В субстанции всё определяется её свойствами для всех типов возмущения, включая гравитационные. Именно поэтому в данных исследованиях было взято значение, равное скорости света, что, повторяю, на саму картину распределения поля не влияет, но проявляет динамическую структуру поля, позволяя в дальнейшем правильно выделять именно гравитационные волны и исследовать их параметры.
Также следует отметить, что световое излучение не может служить основанием для резкого всплеска гравитационных волн, определяемого исключительно комплексным запаздыванием, не говоря уже о том, что характер этого всплеска полностью не соответствовал бы картине процессов в Чёрных дырах, якобы зарегистрированных проектом ЛИГО. Исходно, Чёрные дыры потому и названы таковыми, что по релятивистскому представлению свет не может преодолеть гравитационное поле. Поэтому абсурдно представлять эти мифические объекты в виде, показанном на рис. 9.

Рис. 9. «Это впечатление художника показывает двоякую систему GX 339-4, состоящую из черной дыры 7-солнечной массы, которая притягивает массу от спутника, звезды с низкой массой, показанной слева. Процесс происходит через аккреционный диск, а также инициирует выпуск мощных струй высокоэнергетических частиц.
Различные области струй и дисков излучают излучение на разных длинах волн: основание струй, ближе к черной дыре, излучает свет на более коротких длинах волн (инфракрасный, показанный здесь в желтом цвете), чем крайняя часть струй, которые ярко светятся на радиоволнах (показано здесь красным цветом). Точно так же самая центральная часть диска, ближе к черной дыре, ярко светит в рентгеновских лучах (здесь показано фиолетовым), тогда как внешние части ярко светятся на более длинных волнах (ультрафиолетовые и оптические, как показано здесь в синем).
Наблюдения, выполненные с помощью космической обсерватории Гершеля ЕКА, обеспечили первый взгляд на GX 339-4 на дальних инфракрасных длинах волн, позволяя астрономам зондировать струи до их основания, где происходят дальние инфракрасные излучения. Это важное дополнение к пониманию струй черных дыр и физических процессов, которые происходят очень близко к черной дыре»
{11}

Обращает на себя внимание то, что всегда это впечатление художника, а не реальная регистрация. И в объяснении мы видим, что лучи всех диапазонов прекрасно излучаются, что, как было сказано, принципиально опровергает само понятие Чёрной дыры.
Подобных «художественных впечатлений» нарисовано огромное количество. На рис. 10 представлено ещё одно.

Рис. 10. «Новые исследования из Периметра предлагают использовать черные дыры и гравитационные волны для решения тайны темной материи... Исследование, первоначально опубликованное в Physical Review D, утверждает, что если аксионы - гипотетические частицы, теоретизированные как возможные компоненты темной материи - реальны, черные дыры могут быть ключом к их поиску. Процесс сверхизлучения, который нагнетает пространство вокруг черных дыр для генерации огромного количества аксионов, может фактически создать рябь в пространстве-времени, подобную тем, которые были обнаружены в Лабиринтной гравиметрической волновой обсерватории (LIGO) в 2015 году» {12}

И теоретики из института теоретической физики тоже основываются на некоем сверхизлучении, но рисуют в центре чёрное неизлучающее тело в полном опровержении того, что хотят доказать. Даже при солнечном затмении диск полного затмения уменьшается, доходя до Земли, оставляя зону полутени, как показано на рис. 11

Рис. 11. «Тень от Луны в новолуние обычно падает мимо Земли, либо выше, либо ниже нашей планеты. Но по крайней мере два раза в год, когда Луна пересекает плоскость эклиптики (в т.н. узлах лунной орбиты) и некоторая часть тени Луны падает на поверхность Земли, в каком-то районе Земли можно наблюдать затмение Солнца» {13}.

Учитывая удалённость предполагаемых Чёрных дыр по сравнению с их размером и сильное отклоняющее воздействия этих объектов на траекторию света по версии релятивистов, следует предполагать, что даже зоны полутени не должно наблюдаться, а значит, никаких чёрных объектов, нарисованных художниками, быть не должно. В лучшем случае и по малой вероятности, может наблюдаться дифракционный эффект. Когда же дорисовывают желаемое, теряется всякая связь с действительностью.
Тем более бессмысленно заявлять о каком-то излучении при якобы столкновениях этих мифических объектов. Это должно быть столкновение на уровне горизонтов событий, а свет не может покинуть эту область, сколько бы энергий Солнц ни выделилось. Тем более, если Чёрные дыры «заглянули» друг другу под этот горизонт, до которого объект в своей сопутствующей ИСО должен двигаться бесконечное время, неспособное по самому определению бесконечности трансформироваться в конечное время для постороннего наблюдателя. Опять-таки по определению, из-под горизонта событий вообще ничего вовне выйти не может. Иначе это не Чёрные дыры, а значит, это другие объекты, которые образовались на других физических закономерностях и имеют совсем иные свойства, отличные от Чёрных дыр, объявлением о нахождении которых релятивисты третируют весь мир.
Наконец, сам вопрос о чёрных дырах, якобы расположенных в центрах галактик, данными исследованиями снимается сам собой, поскольку исчезает необходимость в центральном гравитирующем центре. Как показано в исследовании о встречном движении масс {14}, комплексное запаздывание само по себе создаёт условия для перехода масс к взаимному вращению вокруг общего центра. Так что склонность к циркулярному взаимному движению не требует расположения в центре некоего мифического гравитирующего тела, не говоря уже о том, что само понятие Чёрной дыры содержит откровенные афизические противоречия, не учитывая которые, можно придумывать любые комбинации. Само то, что сторонники Чёрных дыр сейчас уже допускают выбросы массы из этих дыр, как и излучение света в разных диапазонах, свидетельствует о том, что они сами понимают абсурдность концепции, на которую опираются, и пытаются изменить её, входя в противоречие с самой же исходной концепцией. Если Чёрные дыры могут сливаться, если из них могут истекать потоки частиц, то полностью теряется физический смысл горизонта событий в метрике Шварцшильда вместе с теорией, на основе которой он был сформулирован.
Динамика же процесса, прослеженная в рамках классического формализма, демонстрирует много неожиданных особенностей, проявляющихся вследствие комплексного запаздывания и деформации полей, которые не могут быть описаны статическим моделированием, использовавшимся до сих пор для этих целей. Точно так же, как принципиально Общая теория относительности Эйнштейна неспособна описать эти особенности, начав с искусственного подбора аналога статического уравнения Пуассона. Классическая же физика, как мы видим, достаточно спокойно преодолевает этот барьер моделирования, переходя в область динамики. Область, в которой ревизионисты в один голос предрекали её неспособность корректно описывать физические процессы. Как видим, это представление ложно, а проявляющаяся динамика полностью низводит все представления релятивизма о гравитационном процессе.


Литература:
1. В.Г. Зубов и В.П. Шальнов. Задачи по физике. Москва, Государственное издательство физико-математической литературы, 1963, 272 с.
2. С.Б. Каравашкин. О трансформации времени (полная версия) – // блог «Classical Science».
3. А. Эйнштейн. Эфир и теория относительности – // Собрание научных трудов в четырех томах, т. 1, с. 682-689.  Москва, Наука, 1965, 700 с.
4. NuSTAR Probes Black Hole Jet Mystery – NASA News.
feature=6986&utm_source=iContact&utm_medium=email&utm_campaign=NASAJPL&utm_content=daily20171030-1
5. С.Б. Каравашкин, О.Н. Каравашкина. Эйнштейновская формула полной энергии тела – // блог «Classical Science».
6. В.М. Петров. А существует ли магнитное поле? Часть 1. Стационарное поле – // "Электро" №1, 2004.
7. 6.3. Длина тел в разных системах – // Полный курс лекций по физике
8. С.Б. Каравашкин. Поле синхронно движущихся источников, ч. 3. Внутреннее гравитационное поле – // блог «Classical Science».
9. Каравашкин С.Б., Каравашкина О.Н. К вопросу о реальности черных дыр. Труды СЕЛФ, 5 (2005), 2, 1–17.
10. Каравашкин С.Б., Каравашкина О.Н. О чёрных дырах – // блог «Classical Science».
11. Artist's impression of the gx 339-4 black-hole binary system Copyright: ESA/ATG medialab
12. Eamon o'Flynn Researchers suggest “mind-blowing” new approach to finding dark matter , Perimeter institute for theoretical physics.
13. Солнечное затмение 29 марта 2006г.
14. С.Б. Каравашкин. О встречном движении масс – // блог «Classical Science».
Ещё по теме:
1. Парадокс близнецов

Комментарии (7)

Всего: 7 комментариев
  
1
Сегодня по случаю узнал, что 23 мая 2018 года в «Институте цифровой экономики» была проведена презентация отчёта Ю.Н. Иванова и А.В. Пинчука «Методика определения абсолютной скорости в мировом эфире».
В своём докладе Иванов доказывал, что на основе ускоренного движения спарки излучатель-приёмник возможно определять абсолютное движение самой спарки через эфир. При этом он заявлял, мол, они прокопали всю литературу по данному вопросу, весь Инет, но подобных расчётов нигде не нашли, а потому считают авторство исключительно за собой.
Но это полнейшая ложь.
В ноябре 2017 года в моём блоге «Classical science» была представлена работа:
Поле синхронно движущихся источников ч. 4 Гравитационное поле внутри массивного кольца
В ней, в частности, рассмотрен с соответствующими расчётами как раз этот случай ускоренного движения спарки и, в частности, делаются следующие выводы:
««Как мы видим, при ускоренном движении спарки принципиально изменяется закон Доплера. В этом случае периоды излучения и приёма оказываются неравными даже при синхронном движении источника и приемника, а различие начинает зависеть от параметров ускоряемой спарки, хотя рассмотрение производилось строго в одной ИСО. С этим теряет смысл обобщённый постулат эквивалентности релятивизма, лежащий в основе общей теории относительности. Вместе с этим теряет смысл и сама эта теория, построенная на усечённых фантазиях и афизичных гипотезах.
В нашем же рассмотрении важным является то, что различие периодов появляется зависимость от начальной скорости спарки v0. Встаёт вопрос: по отношению к какой системе отсчёта измерять данную скорость? Ведь в разных ИСО, принятых нами за неподвижную, эта скорость будет различной.
Ответ на данный вопрос единственный. То, что мы принимаем за неподвижную ИСО, автоматически связывается со светонесущей субстанцией, т.е. с субстанцией, по отношению к которой и сама скорость распространения полей постоянна. И даже если, предположим, Солнечная система движется в Галактике вместе с Землёй, а значит, предположительно, обладает определённой скоростью по отношению к светонесущей субстанции, то принятие системы отсчёта за неподвижную обусловлено не тем, что она полностью неподвижна, а тем, что при скоростях и ускорениях, которыми мы оперируем, погрешности оказываются ниже разрешающей способности наших приборов, как и треугольник в геометрии является идеальным только с точностью до наших погрешностей, которые мы воспринимаем как неизбежность неидеальности нашего инструмента. Об этом говорят и законы волновой физики, которым строго в полном объёме соответствуют динамические процессы в поле. Тут, как было сказано, не имеет значения, как называть данную субстанцию. Главное, что она должна обладать всеми свойствами эфира как светонесущей субстанции. И это решает вопрос в пользу классической физики»».
Иными словами, вся теория была дана у меня. Иванов же просто скрыл автора, присвоив себе авторство.
Я понимаю, что в науке очень легко (и это очень часто плагиаторы используют) методы «параллельного рождения решений», заявления, мол, они значительно раньше начали заниматься этим вопросом и т.д.
Но автор тоже знает что именно и как у него украли. Прежде всего, работа Иванова и Пинчука была подписана к печати только в 13.03. 2018 года. И тираж всего 100 экземпляров. Иными словами: когда сдана – тогда и подписана. Обычно для подобных тиражей в ООО иного не бывает. Таким образом, у псевдоавторов было аж 4 месяца. Учитывая простоту установки, грубую экспериментальную ошибку со схождение лучей на экране, включающем наклонные движения луча, а также отсутствие замеров, требовавших значительного времени, - эксперимент был проведен на скорую руку в пределах месяца. И ещё две недели на сборку самой схемы. Таким образом, никаких двух лет у Иванова не было. Было только 4 месяца минус некоторое малое время на то, чтобы проработать мою работу. А для того, чтобы найти работу, далеко не нужно было ходить. Она аж на четырёх популярных серверах
В моём блоге (157 посещений)
На Decoder.ru (1023 посещения)
«Научные дискуссии» Зуба
Наконец, сама «Глобальная волна»

Но и это не самое главное доказательство. Доказательство в выводах работы. В отчёте Иванова и ко указывается (c 19):
«При ускорении на экране наблюдалось направленное смещение полос интерференции. В случае прекращения ускорения и движения системы с новой постоянной скоростью (V > 0 ) сместившиеся полосы не возвращались в первоначальное положение».
Объяснение этому было:
«Такое поведение интерференции указывает на то, что система до (V = 0 ) и после ускорения (V > 0 ) по своему внутреннему состоянию оказалась неинвариантна самой себе. Это ставит под сомнение принцип инвариантности, согласно которому при любой постоянной скорости полосы интерференции должны занимать одно и то же положение на экране, т.е. возвращаться в первоначальное положение. А если этого не происходит, то наблюдая за поведением интерференционных полос в приборе можно судить о скоростном режиме системы».
Но деформация полей и деформация вследствие ускоренного движения системы – это два не связанных впрямую явления, которые накладываются друг на друга. Эффект Доплера обусловлен разностью скоростей источника и приёмника спарки в моменты излучения/приёма сигнала. Деформация же полей обусловлена самой скоростью спарки. Именно поэтому в моей формуле присутствует зависимость как от начальной скорости, так и от ускорения спарки. Поэтому при чистом эксперименте после перехода системы из ускоренного движения в равномерное с V > 0, должен был бы наблюдаться «откат» значений. И поскольку скорости, с которыми оперировали исследователи слишком малые, должен был бы происходить практически полный откат значений.
Чтобы фиксировать подобный процесс интерферометр бесполезен. Тут нужны совсем иные, хотя и хорошо известные, методы регистрации. Правда, они требуют времени на сбор и отладку аппаратуры, которого у горе-авторов просто не было. Потому они и пошли по примитивному пути с использованием интерферометра, не увидев даже, что в этом случае не просто смещение должно быть, а то, что получается при интерференции близких по частоте сигналов,- биения с нарушением положения полос.
Это ещё раз подтверждает, что был сделан плагиат без понимания сути процессов.
  
#2 | Анатолий »» | 05.06.2018 02:42 | ответ на: #1 ( Каравашкин Сергей ) »»
  
0
Представляю как это неприятно.
Надо действовать, а то так и замнут. Я конечно не знаю как в таких случаях действовать и как оспаривать, но думаю что это необходимо.
#3 | Каравашкин Сергей »» | 05.06.2018 09:22 | ответ на: #2 ( Анатолий ) »»
  
0
Воровство сейчас стало нормой. Что, они одни? Вот их психология:
А что есть разница кто именно открыл данный эффект ?
Лично я узнал о нем от Иванова за что ему Благодарен .
И я молчу про эксперимент Саньяка . (Единолично вообще что либо открыть НЕВОЗМОЖНО )
История науки и научная политика не интересует .
Гуру нет .
Аргумент становится фактом корпускулярно-волновой дуализм теряет слово корпускулярно и дуализм .

Мелочность - порок Машиаха !
И таких толпа.
Главное то, что подобное воровство никогда не приносило и не принесёт пользы. Заметьте, не понимая сути процесса тот же Иванов провёл глупый эксперимент и направил мысль по ложному пути. Так же было и с Н. Бором, укравшим свои расчёты у Никольсона, также было и с Пойнтингом, укравшим вывод у Умова, Так же было и с Лоренцом, укравшим у Хевисайда свою силу Лоренца и т.д. В результате весь мир мается в дебрях фантазий, тратя средства и время на глупости. Вот она цена воровства. Больше, чем они сами себя наказывают, придумать невозможно.
  
#4 | Анатолий »» | 05.06.2018 18:51 | ответ на: #3 ( Каравашкин Сергей ) »»
  
0
Да не только сейчас воровство стало нормой.
Хотя бывают случаи не воровства.
Вместе с Дарвиным о происхождении видов написал еще один человек. Когда Дарвин опубликовал свой труд, то он прислал ему свою рукопись, которая так же трактовала развитие и происхождение видов. Причем он ничего не требовал, не возмущался, просто поделился. Дарвин? Дарвин ничего не ответил ему в ответ. И теперь мы знаем в основном только Дарвина и его труд, а того молодого человека никто уже и не помнит...
Печально...

Но у вас скорее всего другой случай.
Прочитали и быстро слямзили.


.
#5 | Каравашкин Сергей »» | 05.06.2018 19:21 | ответ на: #4 ( Анатолий ) »»
  
0
Так сколько уже утянули-то? Ещё с самой молодости. Помнится, в Институте метрологии дали мне проблемку с точностью фиксации кривых на осциллографе. И решение-то у меня было простым. Поставил ограничение по напряжению сверху и снизу и задавил кривые усилением, сделав острыми кривые в точке касания (это для поверки 100% АМ модуляции). Мой куратор, проработавший десятки лет и защитивший на эталоне АМ диссертацию, увидев моё решение отмахнулся. Потом через несколько дней приходит ко мне, приносит моё решение от себя и предлагает реализовать в схеме, На мой намёк, что именно это я ему показывал, он так обиделся...
Грязное это дело - наука. Когда кошелёк крадут, все кричат "держи вора", а как разработки себе присваивать вместе со званиями, регалиями - все улыбаются и пожимают плечами.
Но я поймал этот момент чётко. Присвоение никогда не приводит к благополучию. Что с кошельком, что с разработками. Поэтому абсолютно спокойно реагирую на них. Они ведь всё равно не слышат и будут переться в свою "ту-степ" хоть на ухо кричи. Как сороки. Им всё равно фольга ли от конфет, золото, серебро - лишь бы блестело. Ну, а то, что их толпа - такова спортивная жизнь.
Тем более, что у Иванова эксперимент дрековый. Там столько паразитки кроме того, что я указал, - мама не горюй. Пусть себе сидит и радуется, держа палец в чернильнице, как граф Волопюк... И у остальных, кгто зарился на мои разработки, та же судьба. Как говорится ими: "незаменимых людей нет". Вот только беда, что этих незаменимых некем заменять. Уровень не тянут. А так?.. пусть себе пыжатся...
  
#6 | Анатолий »» | 06.06.2018 21:23 | ответ на: #5 ( Каравашкин Сергей ) »»
  
0
Не хороший, неприятный случай, тем более не первый раз вы с этим сталкиваетесь.
Со мной тоже были плагиаты (брали) но очень так слабенько., чуть-чуть.
А тут все же по серьезному .
#7 | Каравашкин Сергей »» | 06.06.2018 22:39 | ответ на: #6 ( Анатолий ) »»
  
1
Такова спортивная жизнь нонче, Анатолий... А что, воровство спиральной волны, показанной впервые нами, было слабым? Там же тоже даже мою статью "Волна" в Википедии искорёжили, выбросив не только о спиральной волне, но даже то, что было подтверждено официальными опубликованными статьями. Понятно ради чего? Да ради той же нобелевской и кучи местных наград, полученных за это. И с излучением/приёмом продольной ЭМ волны было аналогично. Хотя бы есть одно упоминание о нас? Нет. И т.д.д.д.
Так что это не "неприятный случай" и не только со мной. Это нонче норма. Всю жизнь гонится за мной эта стая.
Но есть и смешное. Даже уворованное переварить не могут. Колом так и стоит у них. И после этого они кричат о каком-то патриотизме, о престиже, о нормах морали в науке... Слава Богу, что шаражки отменили. И то радует...
Так что не переживайте. Они этим себе только хуже сделали, направив стопы по ложному пути. Мне меньше конкуренции...
Добавлять комментарии могут только
зарегистрированные пользователи!
 
Имя или номер: Пароль:
Регистрация » Забыли пароль?
бог 136 истина 11 любовь 135 троица 126 ум 57 жизнь 3 христос 5 образ 3 богородица 5 вера 3 дух 11 человек 8 отец 5 сущность 3 время 7 свобода 3 интернет 4 дух святой 4 алексей семихатов 9 гравитация 6 хаос 3 энтропия 4 искусственный интеллект 9 борис бояршинов 4 нейтрино 3 криптовалюты 3 комплексное запаздывание 5 термояд 3 эффект доплера 6 физика 4 фильм 3 квантовая механика 5 истинные и мнимые лучи 3 фотон 3 чёрные дыры 4 сто 13 алексей савватеев 7 владимир сурдин 3 новый ролик 8 черная дыра 3 скорость света 3 видео 9 пространство 6 космология 4 материя 3 гравитационные волны 7 эфир 6 горизонт событий 4 ото 5 будущее 3 космос 5 россия 4 сознание 3 вселенная 3 квантовая физика 4 электромагнетизм 3 лиго 4 луна 3 разум 6 рассудок 3 теория относительности 4 ложность релятивизма 4 дети 3 энергия 3 благодать 4 математика 4 спасение 3 крест 3 дифракция 3 химия 5 воля 4 золотое сечение 3 марс 3 классическая физика 4 майкельсон 3 преобразования лоренца 4 логика 3 эфирный ветер 4 святой дух 3 сын 4 вода 3 иисус христос 12 путь 3 гипотеза 3 наука 4 gps 3 черные дыры 3 большой адронный коллайдер 4 решение 4 мир 3 история 3 эксперименты 3 лечение рака в израиле 3 методы лечения рака в израиле 3 биография 4 история открытия 3 темная энергия 3 погрешность 3 метрология 3 измерения 5
 
© decoder.ru 2003 - 2026, создание портала - Vinchi Group & MySites
ЧИСТЫЙ ИНТЕРНЕТ - logoSlovo.RU