Поле синхронно движущихся источников ч. 2

Внешнее гравитационное поле
С.Б. Каравашкин
e-mail: текст ссылкиsbkaravashkin@gmail.com
Труды СЕЛФ
блог «Classical Science»
Оригинал

В первой части работы {1} была проанализирована математическая база моделирования гравитационного поля взаимно движущихся тел, а также конкретный случай параметров двойной чёрной дыры, исследованной проектом ЛИГО на предмет регистрации гравитационных волн. Чтобы иметь прямое сравнение расчёта на основе комплексного запаздывания с реальными астрономическими объектами, моделирование динамического гравитационного поля в данной части работы будет основываться на параметрах данной астрономической пары. Единственно, не будет предполагаться реализация процесса слияния, поскольку, как показано в первой части, данный процесс физически невозможен. Таким образом, в основу расчёта и моделирования гравитационного поля пары тел будет положено стационарное взаимное вращение тел по круговой орбите вокруг общего центра тяжести в предположении баланса гравитационной и центробежной сил для каждого тела. При этом будет предполагаться, что массы гравитирующих тел даны авторами проекта ЛИГО с учётом релятивистского роста массы, поскольку скорости предполагаемых ими черных дыр значительны – 0,39 с для лёгкой массы и 0,29 с для тяжёлой. Правда и то, что с точки зрения классической физики подобный рост массы является абсурдом, но в данном случае для моделирования необходимо определённое согласие с абсолютной величиной взаимно вращающихся масс. Поэтому указанные авторами проекта ЛИГО массы будут считаться полными гравитирующими массами безотносительно к росту их величины в релятивистской концепции.
Ещё одной важной особенностью данного моделирования является то, что будет рассчитываться не потенциал, динамические диаграммы которого позаимствовали у нас авторы ЛИГО без ссылок, а напряжённость поля, т.е. сила, действующая на единицу массы пробного тела. Это тем более важно, что на массу пробного тела воздействует именно напряжённость поля, а не потенциал, как таковой, который предполагает только совершение работы, но не описывает сам процесс совершения работы.
Схема моделирования поля осталась той же, которая приведена в первой части работы и повторена здесь на рис. 1.

Рис. 1. Схема для расчёта динамического поля первой массы во внешней точке Р

С учётом вышесказанного, задаваемые параметры расчета были следующими:
1. Скорость распространения гравитационных волн с = 3•Е+8 м/с;
2. Масса первого тела m1 = 29•1,991•Е+30 = 5,7739•Е+31 кг ;
3. Масса второго тела m2 = 39•1,991•Е+30 = 7,7649•Е+31 кг ;
3. Частота вращения f = 150 Гц ;
4. Расстояние между телами:
5. Радиус вращения первого тела относительно центра масс:
6. Радиус вращения второго тела относительно центра масс:
7. Длина волны гравитационного излучения λ = с/f .
8. Параметры точки Р в пределах ±λ с шагом λ/15 относительно центра масс :
Искомые параметры исследуемой динамической системы были следующими:
1. Параметры положения тел с учётом временного запаздывания Δt:
2. Угол ориентации точки Р:
3. Трансцендентное уравнение для определения комплексного запаздывания
4. Угол наклона АР = сΔt:
5. Напряжённость G гравитационного поля тел и её проекции Gx , Gy :
6. Суммарная напряжённость гравитационного поля :
7. Угол наклона η напряжённости суммарного гравитационного поля G :
8. В связи со значительным изменением напряжённости поля с расстоянием от центра масс, для построения использовался десятичный логарифм суммарной напряжённости и его проекций, а именно:
где k – размерный коэффициент моделирования. Единица добавлена под логарифм, чтобы логарифм всегда был положительным, что при общей большой величине потенциала практически не изменяло результата моделирования и не влияло на моделируемую общую картину динамического процесса.
Результат построения представлен на рис. 2.

Рис. 2. Динамическая диаграмма напряжённости внешнего гравитационного поля взаимно движущихся масс в области одной длины гравитационной волны λ

Как видно из построения, гравитационная волна формируется путём одновременного качания векторов напряжённости и небольшого их амплитудного изменения, причём данное явление локализовано в области меньше длины волны, т.е. в ближней зоне. На периферии построения качание вектора напряжённости практически отсутствует и преобладает суммарное гравитационное поле масс. Следовательно, область эффективной фиксации гравитационных волн ограничена радиусом вращения гравитирующих тел. Это принципиально изменяет представление о самой гравитационной волне, позаимствованной у нас без ссылок. Там представлялось поле потенциала. На приведенной диаграмме представлено именно то, что воздействует на другие тела (включая плечи интерферометров ЛИГО), причём с учётом комплексного запаздывания возмущения. Здесь тоже есть спиральная волна, но само действие принципиально отличается от действия обычных волн. Как будет показано ниже, здесь действие не столько трансформирует тело на больших расстояниях, как предполагают авторы ЛИГО, сколько раскачивает пробное тело, и не только в направлении распространения волны от источника поля, но и поперёк этого направления.
Вторым важным моментом на построении является то, что частота колебаний вектора напряжённости в два раза выше частоты вращения самих тел. Это тоже существенно, поскольку влияет на расчёты. Так, если авторы ЛИГО считали, что у них частота вращения чёрных дыр составляла 150 Герц по якобы принятым ими сигналам, то реальное вращение тел составляло половину этого значения. Следовательно, во все их расчёты вкрадывалась ошибка, обусловленная этой половинной частотой. Понятно, что на основе общей теории относительности они эту особенность выявить принципиально не могли. Только прямой расчёт на базе закона всемирного тяготения Ньютона с учётом комплексного запаздывания проявляет данную особенность, как демонстрирует и то, что изгибом мифического пространства подобные колебания векторов напряжённости не могут быть получены принципиально.
Это подтверждает и поперечная компонента гравитационной волны. Для её выделения использовалось построение, представленное на рис. 3.

Рис. 3. Построение для выделения продольной и поперечной компоненты гравитационной волны
С учётом построения, а также в связи с необходимостью проявления периферийных волн, как и в случае построения общей картины поля, использовалась формула для трансформации поперечной компоненты напряжённости гравитационного поля в виде
(1)
Диаграмма с учётом данной трансформации представлена на рис. 4.

Рис. 4. Динамическая диаграмма поперечной компоненты внешнего гравитационного поля взаимно движущихся источников в области одной длины гравитационной волны λ

На диаграмме поперечной волны проявляется характерный спиралевидный характер излучения.
Характер убывания амплитуды поперечной компоненты напряжённости гравитационной волны с расстоянием представлен на рис. 5.

Рис. 5. График затухания поперечной компоненты Gtr гравитационного поля взаимно движущихся источников при длине гравитационной волны λ. = 1,0•Е+6 м; зелёным пунктиром показана кривая затухания.

Как можно видеть из графика, основное затухание происходит в районе двух длин волн, что однозначно относится к ближней зоне излучения поля.
Функция затухания поперечной гравитационной волны определена путём моделирования функцией пятого порядка типа
(2)
Для этого из расчётных данных были взяты шесть минимальных в каждом периоде значений функции Gtr , которые оформлены в таблицу 1:


При решении получающейся системы уравнений по методу Крамера относительно неизвестных коэффициентов в (2), получаем:
(3)
Из (3) мы, видим, что свободный член в выражении не равен нулю. Это обусловлено неравенством гравитирующих масс, вследствие чего переменная составляющая убывает не к нулю, а к некоторой ненулевой величине, но это не предполагает сохранения динамического процесса вплоть до бесконечности. Это только значение, к которому асимптотически сходится амплитуда динамического процесса.
Далее, из самой таблицы видно, что амплитуда поперечной составляющей убывает быстрее уменьшения амплитуды гравитационного поля G в соответствующих точках и меньше её более чем на два порядка. Зависимость (3) также демонстрирует, что основное убывание поля на значительных расстояниях (далее 1,85•Е+7 м) определяется первой степенью расстояния от источника. Все члены с более высокими степенями оказываются меньше. Если исходить из представленных данных о GW150914 {2}, расстояние до него составляет 1,3 млрд. световых лет (1,23•Е+22 м). На этом расстоянии переменная составляющая гравитационного поля, определяемая первой степенью, будет равна 1,51•Е-9 м/с2 . Хотя сама по себе величина уже слишком мала, это ещё не всё. Дело в том, что для трансформации плеча интерферометра важна не только величина поля, но и её изменение на концах этого плеча {3}. С учётом же того, что изменение напряжённости поля происходит на расстояниях от источника в сотни мегапарсек, измеряемая интерферометрами ЛИГО трансформация плеча интерферометра становится просто неизмеримой интерферометрическими методами, поскольку будет значительно меньше длины волны света, используемого в интерферометре.
Действительно, из динамической диаграммы видно, что если взять поверхность равного диаметра вокруг источника от центра масс, то длина спиральной волны вдоль этой поверхности будет пропорциональна половине длины окружности, т.е. πL. При вышеуказанном значении расстояния L до источника гравитационных волн, максимально растягивающее усилие будет определяться удвоенным значением напряженности поля на полудлине волны {3}. Таким образом, для интерферометра длиной 4 000 м растягивающее усилие будет определяться выражением
(4)
Принимая интерферометр с массами m, расположенными на его концах и равными 1 000 кг каждая (что завышено), и сечением самих плеч s, равным 0,001 м² (что занижено), по закону Гука получим растяжение для плексигласа как для материала с наименьшим коэффициентом Юнга Е = 5,25•Е+7 н/м² :
(5)
откуда,
(6)
Исходя из того, что длина волны, например, красного света λ = (6,25 – 7,4)•Е-7 , - это на шестнадцать порядков больше получающегося смещения Δl . Такие смещения фаз и интерферометр неспособен регистрировать, ограничиваясь в лучшем случае двумя порядками длины волны света. При реальных же конструкционных материалах и массах величина трансформации плеч интерферометра будет уходить ещё далее на порядки в не измеряемую величину. Методика совпадений здесь будет бессильна, поскольку сами величины будут неизмеряемыми даже столь чувствительными интерферометрическими методами и неизвлекаемыми из-под шумов.
Исследуем теперь переменную составляющую продольной гравитационной волны. С учётом особенностей этой компоненты динамического гравитационного поля, обусловленной наложением её на проекцию самого суммарного поля, для построения диаграммы, выделяющей эту переменную компоненту, была использована несколько иная формула:
(7)
Иными словами, для выделения переменной составляющей продольного поля, из значения продольной проекции поля было вычтено значение среднего поля, создаваемого обеими массами в точке Р как единой массой, расположенной в точке О построения на рис. 1. Диаграмма переменной составляющей продольного поля взаимно движущихся масс представлена на рис. 6.

Рис. 6. Динамическая диаграмма продольной компоненты внешнего гравитационного поля взаимно движущихся источников в области одной длины гравитационной волны λ

Мы видим, что как поперечная (рис. 4), так и продольная (рис. 6) компоненты поля имеют характерную особенность спиральной волны, в то время, как результирующие колебания этого поля (рис. 2) представляют собой колебания относительно направления на центр масс системы гравитирующих тел. Однако и результирующая напряжённость динамического гравитационного поля имеет характер спиральной волны как суперпозиция продольной и поперечной компонент. Просто на рис. 4 и рис. 6 произведено выделение непосредственно переменной компоненты напряжённости поля, а на рис. 2 доминирует напряжённость базового суммарного гравитационного поля. Переменные же компоненты только немного изменяют амплитуду напряжённости этого поля и отклоняют её от направления на центр тяжести исследуемой системы тел.
Зависимость затухания напряжённости продольного поля с расстоянием от источника хорошо видна на рис. 7.

Рис. 7. График затухания продольной компоненты Δ[I]Glg гравитационного поля взаимно движущихся источников при длине гравитационной волны λ = 1,0•Е+6 м; зелёным пунктиром показана кривая затухания.[/I]

Сравнивая графики на рис. 5 и рис. 7, мы видим, что характер затухания поперечной и продольной компонент динамического гравитационного поля практически одинаков, хотя аппроксимирующие затухание уравнения несколько отличаются.
Действительно, в таблице 2 представлены минимумы динамического поля по данным графика на рис. 7.
С учётом значений таблицы 2, функция затухания для продольной волны моделируется уравнением четвёртой степени
(8)
Различие аппроксимирующих функций в определённой степени может быть обусловлено самим динамическим процессом, вследствие которого могут изменяться и сами функции. Тем не менее, и для продольных волн на дальних расстояниях от системы масс доминирующей является зависимость от первой степени расстояния от центра масс; оно того же порядка, что и для поперечной волны. Следовательно, влияние продольной волны того же порядка и не может обеспечить регистрируемость процесса интерферометрами ЛИГО.
Одновременно с этим, если мы вернёмся к рис. 8 первой части работы, повторённом на рис. 8 этой части, то увидим, что начальная фаза процесса предполагаемого авторами слияния якобы регистрировалась интерферометрами и процесс имел существенную амплитуду, значительно превосходящую то, что в действительности могло быть зарегистрировано интерферометрами.

Рис. 8. «Some key results of our analysis of GW150914, comparing the reconstructed gravitational-wave strain (as seen by H1 at Hanford) with the predictions of the best-matching waveform computed from general relativity, over the three stages of the event: inspiral, merger and ringdown. Also shown are the separation and velocity of the black holes, and how they change as the merger event unfolds.
(Некоторые ключевые результаты нашего анализа GW150914, сравнивающие реконструированную деформацию гравитационной волны (как видно по H1 в Хэнфорде) с предсказаниями наилучшего совпадающего сигнала в форме волны, вычисленного из общей теории относительности, на трех этапах события: на соприкосновении спиралей, при слиянии и на результирующем этапе. Также показано разделение и скорость черных дыр, и как они меняются по мере того, как происходит событие слияния») {4}.

Скорее всего, за регистрацию был принят какой-то другой процесс, который связали с удалённой парной чёрной дырой. И дело здесь не в различии концептуальных подходов к вопросу. В действительности, релятивистская концепция опиралась на всё тот же закон Ньютона, только подменив реальное действие сил геометризацией искривления пространства-времени: «В общей теории относительности уравнения движения материальной точки в гравитационном поле имеют вид:
(9)
где
(10)
– символы Кристоффеля. Здесь gik — метрический тензор, характеризующий гравитационное поле в общей теории относительности.
Из сравнения этих уравнений движения с уравнениями движения ньютоновской механики
(11)
видно, что в общей теории относительности роль гравитационного потенциала φ играет метрический тензор»
{5}.
Так что, как было сказано выше, в основе обоих подходов лежит один и тот же закон. Различие лишь в том, что в представленном моделировании упор делается на феноменологию процесса, а общей теории относительности – на придуманные формулы на основе тензорной алгебры с искажениями, не позволяющими в рамках этой концепции даже корректно описать само искривление пространства в силу невозможности замкнуть времениподобный контур без нарушения свойств времени {6, с. 63}. Как следствие различия подходов, в силу геометризации статического закона Всемирного тяготения Ньютона без учёта особенностей комплексного запаздывания, учитываемых в данном моделировании и определяющих спиральность динамического гравитационного поля, принципиально невозможно произвести выделение динамических компонент поля, которые способны влиять на сокращение плеч интерферометра. А следовательно, невозможно реально оценить влияние удалённого астрономического объекта на плечи интерферометров, расположенных на Земле, к чему фактически и сводится различие подходов, если не касаться самой феноменологии процесса, извращённого релятивистской концепцией.
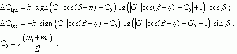
Возвращаясь к исследованию переменной составляющей взаимно вращающихся тел, на основе продольной и поперечной компонент покажем совокупное изменение переменной составляющей напряжённости гравитационного поля.
В основу мат.обеспечения данной динамической диаграммы были положены ранее полученные значения продольной и поперечной компонент, как и все углы, необходимые для построения результирующей картины динамической компоненты гравитационного поля.
С учётом этого, компоненты напряжённости поперечного динамического гравитационного поля вычислялись на основе выражений:
(12)
Компоненты напряжённости продольного динамического гравитационного поля вычислялись на основе выражений:
(13)
В (13) угол наклона (β – η) был взят по абсолютной величине в связи с тем, что косинус этого угла мог изменять знак в зависимости от значений, входящих в разницу углов. Значение же проекций динамического продольного поля определялась исключительно разницей между абсолютным значением разности проекции общего поля и средней его величины G0.
Суммарное значение динамической компоненты Galt и угол её наклона ηalt определялись выражениями:
(14)
Для проявления напряжённости поля на периферии диаграммы, также использовалось логарифмирование проекций суммарного динамического поля:
(15)
Динамическая диаграмма, построенная на основе данного мат. обеспечения, представлена на рис. 9.

Рис. 9. Диаграмма внешнего результирующего динамического поля взаимно движущихся источников в области одной длины гравитационной волны λ

Как и ожидалось, результирующее поле представляет собой суперпозицию спиральной волны и вращений напряжённости этого поля в каждой точке во времени. Причём вращение векторов напряжённости и спиральной волны происходит в противоположных направлениях и различие фаз вращения векторов фактически и формирует спиральную волну. Понятно, что на основе искривления пространства-времени данная картина процесса принципиально не может быть описана, поскольку в ней невозможно учесть комплексное запаздывание возмущения, являющегося определяющим для данного процесса, не говоря уже о неспособности релятивистской концепции описать подобные синхронные вращения векторов. Это может быть сделано только при учёте самой феноменологии процесса распространения гравитационных волн, описывающей не просто производные по координатам и времени, но учитывающим особенности сложения векторов и комплексное запаздывание, понимание которых может быть получено исключительно из рассмотрения самого процесса, а не на основе абстрактной геометрии. К тому же, учёт комплексного запаздывания требует решения трансцендентных уравнений, что не реализуемо в рамках релятивистской геометризации.

Таким образом, в результате исследования выявлено, что
– общая напряжённость внешнего гравитационного поля взаимно вращающихся масс представляет собой колебания векторов напряжённости относительно направления на центр масс данной системы масс;
– гравитационная волна во внешней области является результатом синхронного вращения напряжённостей динамической компоненты поля в каждой точке с формированием общей спиральной волны;
– амплитуда данной волны во внешней области системы тел не превышает второго порядка от средней амплитуды гравитационного поля данной системы;
– продольная и поперечная компоненты гравитационной волны могут быть описаны степенной функцией и на значительных расстояниях от источника поля обе обладают затуханием, пропорциональным первой степени расстояния от источника поля;
– частота изменения динамического поля является удвоенной по отношению к частоте взаимного вращения гравитирующих масс, являющихся источниками этого поля;
– в проекте ЛИГО принципиально не могли быть получены сигналы от двойной чёрной дыры GW150914 вследствие неизмеримой малости трансформаций плеч интерферометров, использовавшихся в этом проекте.

Литература:
1. С.Б. Каравашкин. Поле синхронно движущихся источников, ч. 1 – // блог «Classical Science».
2. Открытие гравитационных волн – Википедия.
3. С.Б. Каравашкин, О.Н. Каравашкина. К вопросу о приливных силах – // блог «Classical Science».
4. Observation of gravitational waves from a binary black hole merger LIGO scientific collaboration.
5. Гравитационный потенциал – Википедия.
6. С.Б. Каравашкин, О.Н. Каравашкина. Проблема физического времени в современной физике – // Труды СЕЛФ, т. 6.1, с. 53-83.

Комментарии

Комментарии не найдены ...
Добавлять комментарии могут только
зарегистрированные пользователи!
 
Имя или номер: Пароль:
Регистрация » Забыли пароль?
бог 114 вера 3 дух 11 любовь 114 троица 105 ум 36 богородица 3 человек 8 отец 5 сущность 3 время 7 истина 7 свобода 3 интернет 4 дух святой 4 алексей семихатов 9 гравитация 6 хаос 3 энтропия 4 искусственный интеллект 9 борис бояршинов 4 нейтрино 3 криптовалюты 3 комплексное запаздывание 5 термояд 3 эффект доплера 6 физика 4 фильм 3 квантовая механика 5 истинные и мнимые лучи 3 фотон 3 чёрные дыры 4 сто 13 алексей савватеев 7 владимир сурдин 3 новый ролик 8 черная дыра 3 скорость света 3 видео 9 пространство 6 космология 4 материя 3 гравитационные волны 7 эфир 6 горизонт событий 4 ото 5 будущее 3 космос 5 россия 4 сознание 3 вселенная 3 квантовая физика 4 электромагнетизм 3 лиго 4 луна 3 разум 6 рассудок 3 теория относительности 4 ложность релятивизма 4 дети 3 энергия 3 благодать 4 математика 4 спасение 3 крест 3 дифракция 3 химия 5 воля 4 золотое сечение 3 марс 3 классическая физика 4 майкельсон 3 преобразования лоренца 4 христос 4 логика 3 эфирный ветер 4 святой дух 3 сын 4 вода 3 иисус христос 12 путь 3 гипотеза 3 наука 4 gps 3 черные дыры 3 большой адронный коллайдер 4 решение 4 мир 3 история 3 эксперименты 3 лечение рака в израиле 3 методы лечения рака в израиле 3 биография 4 история открытия 3 темная энергия 3 погрешность 3 метрология 3 измерения 5
 
© decoder.ru 2003 - 2025, создание портала - Vinchi Group & MySites
ЧИСТЫЙ ИНТЕРНЕТ - logoSlovo.RU