Поле синхронно движущихся источников ч. 1



Вопрос о динамических полях, как правило и вполне закономерно, связывают с волновыми процессами. И всё было бы нормально, если бы переход от стационарных процессов к динамическим осуществлялся с учётом особенностей самих динамических процессов, которые принципиально отличаются от статики, хотя в предельном случае сводятся к законам статических процессов. Так, например, дивергенция динамического вектора, теорему о которой мы в своё время доказали {1}. В динамических полях она приобретает вид {1, с. 239-240}:
( 1)
Как видно из (1) в любых типах динамических полей, в уравнении появляется правая часть, делая это уравнение волновым, несмотря на первую степень самого уравнения. Аналогично происходит и с уравнением для ротора вектора {2}. В динамических и совсем не обязательно вихревых полях данное уравнение приобретает вид {2, с. 6}:
( 2)
В обоих уравнениях появляется правая ненулевая часть, зависящая от времени. И, опять-таки, независимо от типа волнового процесса. Понятно, что при переходе к моделям, не зависящим от времени, данные выражения сводятся к известным, но выражения для статических полей никогда не смогут описать то, что описывают данные выражения. И вариационные методы здесь будут бессильны. Просто это динамика, которую следует учитывать.
Современные же теоретические исследования пошли совсем по иному пути. В частности, как показано нами в {3}, при разработке квантовой механики, вместо поиска закономерностей, определяющих особенности динамических процессов, теоретики просто «прилепили» волновую функцию к стационарному лагранжиану, выдумав для оправдания этого «действия» функции неопределённости, гармонический характер которых полностью противоречит статистическим процессам в физике. «При этом базовые факторы, определяющие динамику, автоматически остаются в стороне исследования и начинают из всех щелей лесть несоответствия и дуализмы, что, собственно, и произошло с квантовой механикой» {3}.
Аналогичное произошло в Общей теории относительности с попытками описать динамику гравитационного поля, используя искусственный тензорный аналог уравнения Пуассона для статических полей. Проблема там возникает даже не на уровне «угадываемых» Эйнштейном уравнений и тем более не с произвольно добавленных релятивистами гармонических функций, описывающих, по их мнению, волновое искривление пространства-времени, а в самом постулировании четырёхмерного пространства и абсурдности общей трактовки эквивалентности систем отсчёта, включая неинерциальные.
Как было показано в {4}, преобразования Лоренца уже на уровне Специальной теории относительности для линейных пространств и инерциальных систем отсчёта (ИСО) переводят физическое время в нефизическое (т.е. с несинхронно идущими часами). Тем самым преобразования уничтожают эквивалентность ИСО, поскольку согласно ей все ИСО должны быть тождественными, а значит, в каждой из них должно быть введено физическое время. Попытки же дополнительным преобразованием ввести в движущейся ИСО физическое время приводят к тому, что нарушается С-постулат постоянства скорости света во всех ИСО.
Обобщение эквивалентности систем отсчёта на неинерциальные только усугубляет ситуацию, начиная с того, что «закон всемирного тяготения Ньютона, требующий передачи действия на расстояние, несовместим со специальной теорией относительности. Последняя требует распространения самое большее со скоростью света, а также ковариантности законов тяготения относительно преобразований Лоренца» {5, с. 206}. Именно поэтому при поиске тензорного аналога уравнения Пуассона «нам (релятивистам – авт.) пришлось ввести некоторые далеко не очевидные, хотя и вероятные допущения» {6, с. 236}. История той самой борьбы за всеобщую ковариантность прекрасно показывает последствия этих «неочевидных допущений». Ведь исходно «в соответствии с законом Ньютона – Пуассона представляется разумным потребовать, чтобы это уравнение (релятивистский тензорный аналог уравнения Пуассона
(3)
где κ – постоянная; Г_μν – контравариантный тензор второго ранга, образовавшийся из производных фундаментального тензора g_μν»
{6, с. 236}) было уравнением второго порядка. Однако следует возразить, что это предположение не позволяет найти дифференциальное выражение, являющееся обобщением Δφ, которое было бы тензором по отношению к произвольным преобразованиям» {6, с. 236-237}.
Сложившаяся ситуация вполне логична. Символы μ, ν в релятивистской концепции четырёхмерны, т.е. содержат время. Уравнение же Пуассона статическое, т.е. не содержит времени: «Уравнение Пуассона — эллиптическое дифференциальное уравнение в частных производных, которое описывает
• электростатическое поле,
• стационарное поле температуры,
• поле давления,
• поле потенциала скорости в гидродинамике»
{7}.
Ведь ещё Ньютон писал, оценивая границы корректности полученных им результатов: «Тяготение к Солнцу составляется из тяготения к отдельным частицам его и при удалении от Солнца убывает в точности пропорционально квадратам расстояний даже до орбиты Сатурна, что следует из покоя афелиев планет, и даже до крайних афелиев комет, если только эти афелии находятся в покое. Причину же этих свойств силы тяготения я до сих пор не мог вывести из явлений, гипотез же я не измышляю. Все же, что не выводится из явлений, должно называться гипотезою, гипотезам же метафизическим, физическим, механическим, скрытым свойствам, не место в экспериментальной философии» {8, с. 662}.
В связи со стационарностью описываемых законом Ньютона процессов, понятно, что в сам закон время входить и не должно, как не должен входить этот параметр и в уравнение Пуассона. Более, того, например, для случая однородной сферы, внутри сферы, т.е. для r < a, «потенциал φ не удовлетворяет уравнению Лапласа… при разрыве плотности потенциал и его первая производная могут быть непрерывны, но по крайней мере одна из вторых производных будет иметь разрыв» {9, с. 335}. Таким образом, уравнение Пуассона ещё и не всегда является частным случаем уравнения Лапласа при переходе к описанию стационарных процессов.
Релятивисты же необоснованно ввели в уравнение Пуассона время на основании ложных предположений о четырёхмерности метрики и последовавших за этим подмен: «учитывая, что в этой теории вместо обычного элемента первоначальной теории относительности (СТО – авт.)
(4)
в качестве абсолютного инварианта (скаляра) выступает линейный элемент более общего вида
(5)
несложно увидеть, каким образом получается обобщение теории относительности, включающее тяготение на основе теории эквивалентности»
{10, с. 269}.
При попытках получить какие-то решения, они при подобном подходе угадывания всё равно вынуждены привязываться к извращённому ими же закону всемирного тяготения Ньютона, поскольку иных закономерностей у них нет, а введение искривления не показывает реальную динамику без учёта самой динамики процесса, выхолощенной подменой этой динамики абстрактной четырёхмерной метрикой. «Однако главная проблема теории тяготения не решается, поскольку она заключается в определении величин g_ik по заданным материальным источникам поля (включая электрические заряды). Другими словами, необходимо найти обобщение уравнения Пуассона» {10, с. 271}. И это при том, что «из общих соображений можно показать, что уравнения, полностью определяющие гравитационное поле, не могут быть ковариантными относительно произвольных преобразований» {10, с. 271}.
Данная противоречивость между реальностью появления особых свойств полей в динамике и попытками приписать динамику уравнениям, описывающим статические и стационарные процессы, да ещё и сводя всё к виртуальной метрике, наглядно проявляется в вопросе гравитационных волн. Записав изначально гравитационное поле в виде некоторой малой добавки {11, с. 437} к невозмущённой галилеевой метрике
(6)
и игнорируя факт, что исходно гравитационное поле не может сводиться к тензору при произвольных преобразованиях, записывают: «условие малости оставляет возможность произвольных преобразований системы отсчёта вида x´^l = x^I + ξ^i c малыми ξ^i : при этом
(7)
Воспользовавшись этим произволом в калибровке (как говорят в этой связи) тензора h´_ik , налагаем на него дополнительное условие
(8)
После чего тензор Риччи принимает простой вид
(9)
где □ обозначает оператор д’Аламбера….
Приравняв выражение (9) нулю, найдём, таким образом, уравнение гравитационного поля в пустоте в виде
(10)
Это – обычное волновое уравнение. Следовательно, гравитационные поля, как и электромагнитные, распространяются в пустоте со скоростью света»
{11, с. 437-438}.
Налицо вся искусственность подгонки исходной малой добавки невозмущённой метрики к волновому уравнению путём простой тасовки символами. Но главное заключается в том, что даже приведение к уравнению д’Аламбера не описывает физику гравитационных волн, поскольку она, физика, была изначально выхолощена путём подмены физического процесса искривлением пространства с привязкой к статическому уравнению Пуассона. Потому необоснован и вывод о равенстве скорости распространения гравитационных и электромагнитных волн. Только подгонка по внешней похожести. Поэтому когда разработчики проекта ЛИГО вдруг представили формирующуюся гравитационную волну в виде, представленном на рис. 1, они просто продемонстрировали «заимствование» наших результатов в {12}, полученных в рамках классического формализма, без ссылки на эти результаты, поскольку никакими ухищрениями не могли бы получить данный вид волны из релятивистской формулы (10).
Рис. 1. «Numerical simulations of the gravitational waves emitted by the inspiral and merger of two black holes. The colored contours around each black hole represent the amplitude of the gravitational radiation; the blue lines represent the orbits of the black holes and the green arrows represent their spins» {13} «Численная симуляция гравитационных волн на пересечении спиралей, где сливаются две чёрных дыры. Окрашенные контуры вокруг каждой чёрной дыры обозначают амплитуду гравитационного излучения; синие линии представляют орбиты чёрных дыр, а зеленые стрелки – их спины»

Дело в том, что указанная формула (10) не выделяет тот или иной тип волны, а физика процесса, как было показано в ходе анализа, выхолощена. Поэтому изобретаются самые разные предположения о структуре этих волн, неизменно привязываясь, однако, к показанным нами измышлениям, навеянным постулатами теории относительности. Так в {14} пытаются представить возмущающий тензор в следующем виде: «В случае монохроматической волны частотой ω, распространяющейся вдоль оси z
(11)
где h+ и hх — два числа, выражающих амплитуду двух независимых поляризаций возможных гравитационных волн»
. Даже внешне видно, что в (11) гармоническая функция искусственно прилеплена к матрице и никогда не сможет описать спиральную волну, возникающую при финитном движении источников, тем более, что сама спиральная волна распространяется в плоскости взаимного движения излучающих тел, а не в некотором направлении z. В одном направлении она могла бы распространяться исключительно в случае оптического формирования волны, что в пространстве, в общем случае, отсутствует, как и описывается совсем иными моделями.
Иногда, как показано на рис. 2, эту спиральную волну демонстрируют впрямую {15} (естественно, тоже без ссылок на оригиналы)

Рис. 2. «У гравитационных волн обнаружили «эхо» – слабый сигнал, который может быть связан с решением информационного парадокса черных дыр. Пока что данные недостаточно надежны, но если их удастся подтвердить, «эхо» станет отзвуком новой физики, объединяющей теории Эйнштейна и квантовую механику» {15}.

В качестве сравнения, на рис. 3 показан оригинал.

Рис. 3. «Диаграмма распределения динамического скалярного потенциала, возбуждаемого в окружающем пространстве астрономическим объектом с двумя центрами заряда, вращающимися по общей траектории в противофазе. Размер исследуемой области - 2000 световых лет, период вращения объекта по своей орбите Т = 900 лет» {12, с. 67}

При этом авторы «ремейка» даже не обратили внимание на факт, что в своём построении мы убрали зависимость затухания поля от расстояния, чтобы более явственно продемонстрировать саму структуру волны. А копирующие повторили то же самое, не задумываясь о сути повторяемого, но прилагая это уже к модели излучения реальных гравитирующих тел.
Иногда заимствуют нашу методику построения из {16}

Рис. 4. «Система из двух нейтронных звезд порождает рябь пространства-времени» {17}

Никого в НАСА не смутило, что в отличие от полей диполей, смоделированных нами в {16}, гравитационные поля не имеют полярности, как и одна из масс не может исчезать по мановению волшебной палочки, что следует из представленной НАСА динамики. А значит, суммарное поле не может иметь тот вид, который представлен на рис. 4. Главным для них было записать: «Этот файл находится в общественном достоянии (англ. public domain), так как он был создан NASA (Национальным управлением по аэронавтике и исследованию космического пространства)», чтобы присвоить себе авторство, а какое оно – это авторство, уже никого не волнует. Как не волнует и то, что данным «общественным достоянием» проблемность построения не снимается. Ведь в своих построениях в {16} мы деформировали амплитуду волны с расстоянием. Копирующие это тоже повторили.
Так же и с формой волн. На рис. 5 представлена одна из искусственных вариаций динамического построения поляризованной гравитационной волны

Рис. 5. «Поляризованная гравитационная волна» {17} (авторское право Quadrupol wave representation Raoul NK)

Автор представляет построение как некоторую поляризованную гравитационную волну, в то время, как смещение эквипотенциальных линий происходит в продольном направлении от источника. Поляризация же присуща исключительно поперечным волнам. К тому же, ни по одной из известных версий гравитационных волн автор построение сделать принципиально не смог бы.
Действительно, вот некоторые из метрик, построенных на основе Общей теории относительности {17} :
«Объёмные волны Бонди — Пирани — Робинсона
Эти волны описываются метрикой вида
(12)
Если ввести переменную u = x^(0) – x^(3) и функцию λ = αγ – β² , то из уравнений ОТО получим уравнение
(13)
Метрика Такено
имеет вид
(14)
P, S –функции; α, β, γ удовлетворяют тому же уравнению.
Метрика Розена
(15)
где μ, ν удовлетворяют
(16)
Метрика Переса
(17)
при этом
(18)
Цилиндрические волны Эйнштейна — Розена
(19)
и выполняются
(20)

{17}.
Несмотря на широкую разновидность метрик, везде мы видим один и тот же приём произвольного подбора преобразований безотносительно к физике самого процесса. Компонуются временная x^(0) и пространственная x^(3) переменные, временная и пространственные переменные умножаются на некоторые экспоненциальные множители, содержащие переменные самой метрики, но главную особенность, связанную с нарушением центральности самих гравитационных сил, выявленную нами в {18}, {19} ни одна из метрик описать неспособна как раз в силу абстрактной геометризации и откровенной нелинейности, основанной на подборе внешней формы безотносительно к физическому смыслу процесса гравитации.
К тому же, из условия (18) в метрике Переса напрямую следует, что решением этого уравнения является достаточно странная для метрики функция:
(21)
С учётом (21) сама метрика (17) становится трансцендентной, а значит, нелинейной и нерешаемой в явном виде.
Аналогично и с метрикой Эйнштейна-Розена. Из (20) следует, что γ = f1(r, x^0, ψ) , ψ = f2(r, x^0, γ). С учётом этого, сама метрика также становится трансцендентной, поскольку указанные параметры входят в неё в показателях экспонент.
Иными словами, то, что называется у релятивистов метрикой, таковой не является, поскольку содержит некоторую совокупность как правило трансцендентных функций, а потому сам интервал ds принципиально не может быть разложен на компоненты, как это осуществляется в метрике.
Наиболее ярко проявляется искусственность релятивистского подхода в вопросе запаздывающих потенциалов. В своей работе «О гравитационных волнах» {20}, Эйнштейн привёл вид функции запаздывания для малого возмущения метрики в виде: «Если x, y, z, t – вещественные координаты точки наблюдения, x1, x2, x3, x4/i в которой должны быть вычислены величины γ´_μν , а x0, y0, z0, пространственные координаты элемента объёма dV_0 и r - пространственное расстояние между dV_0 и точкой наблюдения, то
(22)

{20, с. 633}.
Обратим внимание на тот факт, что в (22) запаздывание приписывается только тензору энергии материи T_μν(x0, y0, t - r), но не самому расстоянию от выделенного объёма до точки наблюдения, в то время, как в указанных выше наших работах {18}, {19} было показано, что запаздывание гравитационного (как и иных видов полевых взаимодействий) сводится не только к запаздыванию как таковому, но и к изменению положения воздействующего тела в пространстве. Именно вследствие этого происходит не только запаздывание, но и изменение самого расстояния между телами. Как следствие этого, сила взаимодействия становится нецентральной и возникает тангенциальная сила, принуждающая взаимно движущиеся тела начать вращаться вокруг общего центра масс, а не падать друг на друга по радиусу.
Если бы (22), как и базовое уравнение Эйнштейна для гравитационных волн, выводилось на основе физики процесса гравитационного взаимодействия, то этот фактор был бы в этом уравнении автоматически учтён в виде некоторой функции f(r) в знаменателе. Факт же отсутствия указанной зависимости, учитывающей, что тела взаимодействуют не с мгновенным положением других тел, а с их прошлым положением, определяемым как раз временем запаздывания, свидетельствует о подтасовке метрики, с помощью которой осуществлялась подгонка под (22) уравнения для гравитационной волны, имевшего у Эйнштейна вид
(23)
Цель проста и как нельзя лучше демонстрирует принцип угадывания, исповедуемый релятивистами. Это сведение своих искусственных построений к классическому потенциалу запаздывания Лиенара-Вихерта, который тоже указанной особенности не учитывает в силу своей ограниченности стационарными в пространстве, но переменными по амплитуде излучения во времени излучателями поля. Иными словами, случаями, когда запаздывание определяется исключительно скоростью распространения возмущения в пространстве и к этому не добавляются факторы, возникающие вследствие изменения положения самих источников по отношению к наблюдателю. При этом классический потенциал Лиенара-Вихерта можно доработать путём уточнения модели, а уравнения гравитационных волн теории относительности – нет, поскольку и к этому виду они были приведены подгонкой формул, а не моделированием физических процессов. В то время как излучатели гравитационного поля не могут быть сделаны переменными во времени, но исключительно излучающими вследствие своего движения. Именно поэтому в знаменателе (22) появилась и сама зависимость от радиуса r, некорректно «позаимствованная» у стационарного закона Всемирного тяготения Ньютона.
К этому добавляется и то, что как также показано в вышеуказанных наших работах, при финитном движении масс, запаздывание с учётом смещения масс автоматически приводит к трансцендентному уравнению, а значит, не может быть выражено некоторой явной функцией f(r). С учётом этого, выражение (22) окончательно теряет физический смысл.

Чтобы построить картину динамического гравитационного поля, учитывающую комплексное запаздывание возмущение, обусловленное конечностью скорости распространения волны и смещением за это время самого излучателя, воспользуемся методикой, представленной в наших работах {18}, {19}, с дополнениями, обусловленными разной величиной масс и взаимодействием обеих масс с внешним пробным телом.
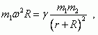
Для начала нам нужно определить динамические поля каждой массы. Схема для расчёта поля для первой (лёгкой) массы m1 представлена на рис. 6.

Рис. 6. Схема для расчёта динамического поля первой массы в точке Р

Введём, что отношение масс m1/m2 = n. Исходя из этого r/R = n, где О – центр масс. Также установим, что массы вращаются вокруг центра масс с угловой скоростью ω, а скорость распространения поля равна с.
Тогда из Δ АОР имеем
(24)
Или
(25)
Как и ожидалось, уравнение (25), определяющее комплексную задержку возмущения Δt1 в точке Р, является трансцендентным.
Определив величину задержки совместно с изменяющимся положением массы, несложно определить и величину потенциала G1 в этой точке Р:
(26)
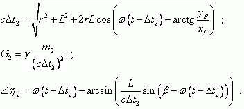
Для нахождения угла ориентации вектора G1 воспользуемся построением на рис. 7.

Рис. 7. Схема для расчёта угла η

Из построения
(27)
Угол ОАР находим по теореме синусов
(28)
откуда
(29)
или
(30)
Для нахождения параметров второй (тяжёлой) массы m2 достаточно заменить R на r, m1 на m2 , а также α2 = ω(t – Δt2)– π. При этом получаем:
(31)
Построение картины динамического поля мы будем привязывать к процессу обнаружения гравитационных волн в проекте ЛИГО, различные схемы которого приведены были выше. Это позволит оценить построения, связанные ЛИГО с точки зрения учёта комплексного запаздывания.
Как известно из сообщений центра ЛИГО, «Our results indicate that GW150914 was produced by the merger of two black holes with masses of about 36 times and 29 times the mass of the Sun respectively, and that the post-merger black hole had a mass of about 62 times the Sun's mass. Moreover, we infer that the final black hole is spinning - such rotating black holes were first predicted theoretically in 1963 by mathematician Roy Kerr. (Наши результаты показывают, что GW150914 получилась слиянием двух чёрных дыр массами примерно в 36 и 29 масс Солнца соответственно, и что чёрная дыра после слияния имела массу в 62 солнечных. Более того, мы делаем вывод, что финальная чёрная дыра вращается вокруг оси – такие вращающиеся чёрные дыры были впервые теоретически предсказаны в 1963 году математиком Роем Керром)» {21}.
Исходя из этого, мы можем задаться исходными массами гравитирующих тел.
(32)
Для определения частоты вращения масс также воспользуемся диаграммами, которые были построены в рамках проекта ЛИГО и приведены на рис. 8.

Рис. 8. «Some key results of our analysis of GW150914, comparing the reconstructed gravitational-wave strain (as seen by H1 at Hanford) with the predictions of the best-matching waveform computed from general relativity, over the three stages of the event: inspiral, merger and ringdown. Also shown are the separation and velocity of the black holes, and how they change as the merger event unfolds.
(Некоторые ключевые результаты нашего анализа GW150914, сравнивающие реконструированную деформацию гравитационной волны (как видно по H1 в Хэнфорде) с предсказаниями наилучшего совпадающего сигнала в форме волны, вычисленного из общей теории относительности, на трех этапах события: на соприкосновении спиралей, при слиянии и на результирующем этапе. Также показано разделение и скорость черных дыр, и как они меняются по мере того, как происходит событие слияния»)
{21}.

«Our estimated pre-merger masses of the two components in GW150914 make a very strong argument that they are both black holes - particularly when we also consider the enormous velocity and tiny separation of the two components, as shown in the lower part of figure 8. In this figure indicative velocities of the two components are seen to be significant fractions of the speed of light. Similarly their approximate separation is shown to be just a few times the characteristic size of a black hole, known as its Schwarzschild radius.
These graphs imply that the two components were only a few hundred kilometers apart just before they merged, ie. when the gravitational-wave frequency was about 150 Hz.
(Наши оценочные массы перед слиянием двух компонентов в GW150914 дают очень веский аргумент в пользу того, что они оба являются черными дырами – в частности, когда мы также рассматриваем огромную скорость и тонкое разделение этих двух компонентов, как показано в нижней части рисунка 8. На этом рисунке индикативные скорости двух компонентов предположительно составляют значительную часть скорости света. Аналогичным образом их примерное разделение показано всего в несколько раз большим, чем характерный размер черной дыры, известный как ее радиус Шварцшильда.
Из этих графиков следует, что эти два компонента находились всего в нескольких сотнях километров друг от друга перед их объединением, т. е., когда частота гравитационной волны составляла около 150 Гц»)
{21}.
Судя по анимации, сделанной авторами проекта ЛИГО и представленной на рис. 9 и 10, процесс слияния ими представляется следующим образом.

Рис. 9. «Calculation of warped spacetime consistent with GW170104 Credit: SXS Collaboration» {22} Видео

Рис. 10. «Simulation of GW170104 Credit: SXS Collaboration» {22} Видео

Согласно построениям, до начала слияния массы стационарно двигались по своим орбитам вокруг общего центра масс, что подтверждает нормальная спиральная волна, «позаимствованная» у нас и, естественно, без ссылки. Частота составляла в пределах 150 герц для GW150914. И только начиная с некоторого момента траектории вдруг начали изменяться, частота начала расти и массы начали сходиться, формируя импульс, якобы зарегистрированный ЛИГО. Представленные расчёты позволяют, с одной стороны, получить данные о радиусах, а с другой стороны проверить: были ли условия для столь внезапного слияния масс? Это тем более имеет смысл, поскольку ОТО оперирует малыми скоростями по сравнению со скоростью света, а в расчётах фигурируют значительные скорости гравитирующих тел – как минимум 0,8с, в начальной фазе.
Проверку проведём путём стандартного расчёта баланса сил при вращательном движении без учёта нашего эффекта комплексного запаздывания, т.е. оперируя теми инструментами, которыми оперировали сами авторы проекта. Как известно, орбита стационарна в случае, когда гравитационное притяжение равно центробежной силе.
Для малой массы имеем:
(33)
или
(34)
Для большой массы получаем соответственно
(35)
Складывая (34) и (35) и решая относительно суммы радиусов, получим
(36)
Радиусы чёрных дыр определяются по формуле
(37)
Подставляя известные нам данные, получаем
(38)
Посчитаем частоту, с которой должны были бы вращаться Чёрные дыры в момент касания горизонтов событий. Для этого воспользуемся формулой (36), выразив ω(rs1 + rs2). При этом получим, что частота в момент касания горизонтов будет равна f = 498 Гц.
Таким образом, мы видим, что с точностью до погрешностей все параметры сходятся… кроме тех, которые авторы проекта не смогли учесть, «позаимствовав» вид представленной нами спиральной волны, поскольку там учёт комплексной задержки тоже не проводился. Реальная схема сил, действующих на чёрные дыры, представлена на рис. 11.

Рис. 11. Схема сил действующих на массу при взаимном вращении двух масс; Fg – гравитационная сила, Fgn – нормальная проекция гравитационной силы, Fсf – центробежная сила, Frez – результирующая сила

Из схемы на рис. 11 видно, что вследствие комплексной задержки сила гравитации расположена под углом ξ к центробежной силе. Поскольку же с ростом скорости при сближении чёрных дыр нормальная проекция гравитационной силы будет убывать с ростом угла ξ, а центробежная сила будет расти, то результирующая сила будет направлена вовне, т.е. на увеличение расстояния между массами, а не на коллапс масс. Рост центробежной силы можно показать и математически. Действительно, на основе (36) мы можем записать
(39)
Из (39) видим, что с ростом частоты центробежная сила растет в степени 4/3. Следовательно, массы будут стремиться удалиться друг от друга, а не слиться. Это делает невозможным коллапс чёрных дыр.
А ведь комплексное запаздывание должно быть присуще всем без исключения моделям, основанным на близкодействии. И то, что в ОТО данный фактор не учтён, только подтверждает искусственность релятивистского моделирования, как и подгонку релятивистских параметров под параметры некого сигнала, который был воспринят, как коллапс того, что было некорректно измышлено на кончике пера.
(продолжение следует)

Литература:
1. С.Б. Каравашкин. Трансформация теоремы о дивергенции вектора в динамических полях. Archivum mathematicum, v. 37(2101), No 3, pp. 233 – 243.
2. О.Н. Каравашкина, С.Б. Каравашкин. Теорема о роторе потенциального вектора в динамических полях. Труды СЕЛФ, т.2, № 2, с. 1-9.
3. С.Б. Каравашкин, О.Н. Каравашкина. Легенды волновой механики – // блог «Classical Science».
4. С.Б. Каравашкин. О трансформации времени – // блог «Classical Science».
5. В. Паули. Теория относительности, М.-Л., ОГИЗ, 1947, 300 с.
6. А. Эйнштейн. Проект общей теории относительности и теория гравитации – // Собрание научных трудов в четырех томах, т. 1, с. 227-266.  Москва, Наука, 1965, 700 с.
7. Уравнение Пуассона – Википедия.
8. И. Ньютон. Математические начала натуральной философии, перевод с латинского и комментарии А.Н. Крылова, М., Наука, 1989.
9. Г. Джеффрис, Б. Свирлс. Методы математической физики, т. 1, М., Мир, 1969, 424 с.
10. А. Эйнштейн. Физические основы теории тяготения – // Собрание научных трудов в четырех томах, т. 1, с. 267-272.  Москва, Наука, 1965, 700 с.
11. Л.Д. Ландау, Е.М. Лифшиц. Теория поля, М., Наука, 1973, 504 с.
12. С.Б. Каравашкин, О.Н. Каравашкина. К вопросу о физической природе постулата о существовании устойчивых стационарных состояний осцилляторов. Труды СЕЛФ, т.4, № 1, с. 39-73.
13. E. Berti. Viewpoint: The First Sounds of Merging Black Holes - // APS Physics.
14. Гравитационные волны и история их поиска – Википедия.
15. Сергей Васильев. Эхо гравитационных волн указало на возможное нарушение Общей теории относительности.
16. С.Б. Каравашкин, О.Н. Каравашкина. К вопросу о методиках исследования динамического скалярного потенциала. Труды СЕЛФ, т.4, № 1, с. 39-73.
17. Гравитационные волны – Википедия.
18. С.Б. Каравашкин, О.Н. Каравашкина. О кривизне пространства-времени – // блог «Classical Science».
19. . С.Б. Каравашкин. О встречном движении масс – // блог «Classical Science».
20. А. Эйнштейн. О гравитационных волнах – // Собрание научных трудов в четырех томах, т. 1, с. 631-646.  Москва, Наука, 1965, 700 с.
21. Observation of gravitational waves from a binary black hole merger LIGO scientific collaboration.
22. GW170104 Press Release: LIGO detects gravitational waves for third time – // LIGO Caltech.

Комментарии

Комментарии не найдены ...
Добавлять комментарии могут только
зарегистрированные пользователи!
 
Имя или номер: Пароль:
Регистрация » Забыли пароль?
бог 130 истина 9 любовь 129 троица 120 ум 51 образ 3 богородица 5 вера 3 дух 11 человек 8 отец 5 сущность 3 время 7 свобода 3 интернет 4 дух святой 4 алексей семихатов 9 гравитация 6 хаос 3 энтропия 4 искусственный интеллект 9 борис бояршинов 4 нейтрино 3 криптовалюты 3 комплексное запаздывание 5 термояд 3 эффект доплера 6 физика 4 фильм 3 квантовая механика 5 истинные и мнимые лучи 3 фотон 3 чёрные дыры 4 сто 13 алексей савватеев 7 владимир сурдин 3 новый ролик 8 черная дыра 3 скорость света 3 видео 9 пространство 6 космология 4 материя 3 гравитационные волны 7 эфир 6 горизонт событий 4 ото 5 будущее 3 космос 5 россия 4 сознание 3 вселенная 3 квантовая физика 4 электромагнетизм 3 лиго 4 луна 3 разум 6 рассудок 3 теория относительности 4 ложность релятивизма 4 дети 3 энергия 3 благодать 4 математика 4 спасение 3 крест 3 дифракция 3 химия 5 воля 4 золотое сечение 3 марс 3 классическая физика 4 майкельсон 3 преобразования лоренца 4 христос 4 логика 3 эфирный ветер 4 святой дух 3 сын 4 вода 3 иисус христос 12 путь 3 гипотеза 3 наука 4 gps 3 черные дыры 3 большой адронный коллайдер 4 решение 4 мир 3 история 3 эксперименты 3 лечение рака в израиле 3 методы лечения рака в израиле 3 биография 4 история открытия 3 темная энергия 3 погрешность 3 метрология 3 измерения 5
 
© decoder.ru 2003 - 2026, создание портала - Vinchi Group & MySites
ЧИСТЫЙ ИНТЕРНЕТ - logoSlovo.RU